Abstract
Background
The optimal prescription and precise recommendations of resistance training volume for older adults is unclear in the current literature. In addition, the interactions between resistance training volume and program duration as well as physical health status remain to be determined when assessing physical function, muscle size and hypertrophy and muscle strength adaptations in older adults.
Objectives
This study aimed to determine which resistance training volume is the most effective in improving physical function, lean body mass, lower-limb muscle hypertrophy and strength in older adults. Additionally, we examined whether effects were moderated by intervention duration (i.e. short term, < 20 weeks; medium-to-long term, ≥ 20 weeks) and physical health status (i.e. physically healthy, physically impaired, mixed physically healthy and physically impaired; PROSPERO identifier: CRD42023413209).
Methods
CINAHL, Embase, LILACS, PubMed, Scielo, SPORTDiscus and Web of Science databases were searched up to April 2023. Eligible randomised trials examined the effects of supervised resistance training in older adults (i.e. ≥ 60 years). Resistance training programs were categorised as low (LVRT), moderate (MVRT) and high volume (HVRT) on the basis of terciles of prescribed weekly resistance training volume (i.e. product of frequency, number of exercises and number of sets) for full- and lower-body training. The primary outcomes for this review were physical function measured by fast walking speed, timed up and go and 6-min walking tests; lean body mass and lower-body muscle hypertrophy; and lower-body muscle strength measured by knee extension and leg press one-repetition maximum (1-RM), isometric muscle strength and isokinetic torque. A random-effects network meta-analysis was undertaken to examine the effects of different resistance training volumes on the outcomes of interest.
Results
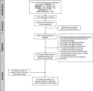
We included a total of 161 articles describing 151 trials (n = 6306). LVRT was the most effective for improving timed up and go [− 1.20 standardised mean difference (SMD), 95% confidence interval (95% CI): − 1.57 to − 0.82], 6-min walk test (1.03 SMD, 95% CI: 0.33–1.73), lean body mass (0.25 SMD, 95% CI: 0.10–0.40) and muscle hypertrophy (0.40 SMD, 95% CI: 0.25–0.54). Both MVRT and HVRT were the most effective for improving lower-limb strength, while only HVRT was effective in increasing fast walking speed (0.40 SMD, 95% CI: − 0.57 to 0.14). Regarding the moderators, our results were independent of program duration and mainly observed for healthy older adults, while evidence was limited for those who were physically impaired.
Conclusions
A low resistance training volume can substantially improve healthy older adults’ physical function and benefits lean mass and muscle size independently of program duration, while a higher volume seems to be necessary for achieving greater improvements in muscle strength. A low volume of resistance training should be recommended in future exercise guidelines, particularly for physically healthy older adults targeting healthy ageing.







Similar content being viewed by others
References
Lexell J, Taylor CC, Sjöström M. What is the cause of the ageing atrophy? Total number, size and proportion of different fiber types studied in whole vastus lateralis muscle from 15- to 83-year-old men. J Neurol Sci. 1988;84(2–3):275–94. https://doi.org/10.1016/0022-510x(88)90132-3. (Epub 1988/04/01. PubMed PMID: 3379447).
Delmonico MJ, Harris TB, Visser M, Park SW, Conroy MB, Velasquez-Mieyer P, Boudreau R, Manini TM, Nevitt M, Newman AB, Goodpaster BH. Longitudinal study of muscle strength, quality, and adipose tissue infiltration. Am J Clin Nutr. 2009;90(6):1579–85. https://doi.org/10.3945/ajcn.2009.28047. (Epub 2009/10/30. PubMed PMID: 19864405; PubMed Central PMCID: PMC2777469).
Bean JF, Kiely DK, Herman S, Leveille SG, Mizer K, Frontera WR, Fielding RA. The relationship between leg power and physical performance in mobility-limited older people. J Am Geriatr Soc. 2002;50(3):461–7 (Epub 2002/04/12. PubMed PMID: 11943041).
Steffen TM, Hacker TA, Mollinger L. Age- and gender-related test performance in community-dwelling elderly people: six-minute walk test, berg balance scale, timed up & go test, and gait speeds. Phys Ther. 2002;82(2):128–37. https://doi.org/10.1093/ptj/82.2.128. (PubMed PMID: 11856064).
Seeman TE, Merkin SS, Crimmins EM, Karlamangla AS. Disability trends among older Americans: National Health And Nutrition Examination Surveys, 1988–1994 and 1999–2004. Am J Public Health. 2010;100(1):100–7. https://doi.org/10.2105/ajph.2008.157388. (Epub 2009/11/17. PubMed PMID: 19910350; PubMed Central PMCID: PMC2791257).
Tinetti ME, Speechley M, Ginter SF. Risk factors for falls among elderly persons living in the community. N Engl J Med. 1988;319(26):1701–7. https://doi.org/10.1056/nejm198812293192604. (Epub 1988/12/29. PubMed PMID: 3205267).
Cawthon PM, Fox KM, Gandra SR, Delmonico MJ, Chiou CF, Anthony MS, Sewall A, Goodpaster B, Satterfield S, Cummings SR, Harris TB. Do muscle mass, muscle density, strength, and physical function similarly influence risk of hospitalization in older adults? J Am Geriatr Soc. 2009;57(8):1411–9. https://doi.org/10.1111/j.1532-5415.2009.02366.x. (Epub 2009/08/18. PubMed PMID: 19682143; PubMed Central PMCID: PMC3269169).
Hanlon P, Nicholl BI, Jani BD, Lee D, McQueenie R, Mair FS. Frailty and pre-frailty in middle-aged and older adults and its association with multimorbidity and mortality: a prospective analysis of 493 737 UK Biobank participants. Lancet Public Health. 2018;3(7):e323–32. https://doi.org/10.1016/s2468-2667(18)30091-4. (Epub 2018/06/18. PubMed PMID: 29908859; PubMed Central PMCID: PMC6028743).
American College of Sports M. American College of Sports Medicine position stand. Progression models in resistance training for healthy adults. Med Sci Sports Exerc. 2009;41(3):687–708. https://doi.org/10.1249/MSS.0b013e3181915670. (PubMed PMID: 19204579).
Fragala MS, Cadore EL, Dorgo S, Izquierdo M, Kraemer WJ, Peterson MD, Ryan ED. Resistance training for older adults: position statement from the national strength and conditioning association. J Strength Cond Res. 2019;33(8):2019–52. https://doi.org/10.1519/jsc.0000000000003230. (Epub 2019/07/26. PubMed PMID: 31343601).
Izquierdo M, Merchant RA, Morley JE, Anker SD, Aprahamian I, Arai H, Aubertin-Leheudre M, Bernabei R, Cadore EL, Cesari M, Chen LK, de Souto BP, Duque G, Ferrucci L, Fielding RA, García-Hermoso A, Gutiérrez-Robledo LM, Harridge SDR, Kirk B, Kritchevsky S, Landi F, Lazarus N, Martin FC, Marzetti E, Pahor M, Ramírez-Vélez R, Rodriguez-Mañas L, Rolland Y, Ruiz JG, Theou O, Villareal DT, Waters DL, Won Won C, Woo J, Vellas B, Fiatarone SM. International exercise recommendations in older adults (ICFSR): expert consensus guidelines. J Nutr Health Aging. 2021;25(7):824–53. https://doi.org/10.1007/s12603-021-1665-8. (Epub 2021/08/20. PubMed PMID: 34409961).
Krieger JW. Single vs. multiple sets of resistance exercise for muscle hypertrophy: a meta-analysis. J Strength Cond Res. 2010;24(4):1150–9. https://doi.org/10.1519/JSC.0b013e3181d4d436. (PubMed PMID: 20300012).
Peterson MD, Rhea MR, Sen A, Gordon PM. Resistance exercise for muscular strength in older adults: a meta-analysis. Ageing Res Rev. 2010;9(3):226–37. https://doi.org/10.1016/j.arr.2010.03.004. (Epub 20100410. PubMed PMID: 20385254; PubMed Central PMCID: PMC2892859).
Peterson MD, Sen A, Gordon PM. Influence of resistance exercise on lean body mass in aging adults: a meta-analysis. Med Sci Sports Exerc. 2011;43(2):249–58. https://doi.org/10.1249/MSS.0b013e3181eb6265. (PubMed PMID: 20543750; PubMed Central PMCID: PMC2995836).
Borde R, Hortobágyi T, Granacher U. Dose-response relationships of resistance training in healthy old adults: a systematic review and meta-analysis. Sports Med. 2015;45(12):1693–720. https://doi.org/10.1007/s40279-015-0385-9. (PubMed PMID: 26420238; PubMed Central PMCID: PMC4656698).
Figueiredo VC, de Salles BF, Trajano GS. Volume for muscle hypertrophy and health outcomes: the most effective variable in resistance training. Sports Med. 2018;48(3):499–505. https://doi.org/10.1007/s40279-017-0793-0. (PubMed PMID: 29022275).
Schoenfeld BJ, Ogborn D, Krieger JW. Dose–response relationship between weekly resistance training volume and increases in muscle mass: a systematic review and meta-analysis. J Sports Sci. 2017;35(11):1073–82. https://doi.org/10.1080/02640414.2016.1210197. (Epub 20160719. PubMed PMID: 27433992).
Morton RW, Traylor DA, Weijs PJM, Phillips SM. Defining anabolic resistance: implications for delivery of clinical care nutrition. Curr Opin Crit Care. 2018;24(2):124–30. https://doi.org/10.1097/mcc.0000000000000488. (PubMed PMID: 29389741).
Kumar V, Selby A, Rankin D, Patel R, Atherton P, Hildebrandt W, Williams J, Smith K, Seynnes O, Hiscock N, Rennie MJ. Age-related differences in the dose–response relationship of muscle protein synthesis to resistance exercise in young and old men. J Physiol. 2009;587(1):211–7. https://doi.org/10.1113/jphysiol.2008.164483. (Epub 20081110. PubMed PMID: 19001042; PubMed Central PMCID: PMC2670034).
Hakkinen K. Neuromuscular adaptation during strength training, ageing, detraining, and immobilization. Crit Rev Phys Rehabil Med. 1994;14:161–98.
Moritani T, deVries HA. Neural factors versus hypertrophy in the time course of muscle strength gain. Am J Phys Med. 1979;58(3):115–30 (PubMed PMID: 453338).
Kido A, Tanaka N, Stein RB. Spinal excitation and inhibition decrease as humans age. Can J Physiol Pharmacol. 2004;82(4):238–48. https://doi.org/10.1139/y04-017. (PubMed PMID: 15181462).
Christie A, Kamen G. Doublet discharges in motoneurons of young and older adults. J Neurophysiol. 2006;95(5):2787–95. https://doi.org/10.1152/jn.00685.2005. (Epub 20060201. PubMed PMID: 16452261).
Laidlaw DH, Bilodeau M, Enoka RM. Steadiness is reduced and motor unit discharge is more variable in old adults. Muscle Nerve. 2000;23(4):600–12. https://doi.org/10.1002/(sici)1097-4598(200004)23:4%3c600::aid-mus20%3e3.0.co;2-d. (PubMed PMID: 10716772).
Curtin D, Cadwallader CJ, Taylor EM, Andrews SC, Stout JC, Hendrikse JJ, Chong TT, Coxon JP. Ageing attenuates exercise-enhanced motor cortical plasticity. J Physiol. 2023;601(24):5733–50. https://doi.org/10.1113/jp285243. (Epub 20231102. PubMed PMID: 37917116).
Rocha JNS, Pereira-Monteiro MR, Vasconcelos ABS, Pantoja-Cardoso A, Aragão-Santos JC, Da Silva-Grigoletto ME. Different resistance training volumes on strength, functional fitness, and body composition of older people: a systematic review with meta-analysis. Arch Gerontol Geriatr. 2024;119:105303. https://doi.org/10.1016/j.archger.2023.105303. (Epub 20231207. PubMed PMID: 38128241).
Marques DL, Neiva HP, Marinho DA, Marques MC. Manipulating the resistance training volume in middle-aged and older adults: a systematic review with meta-analysis of the effects on muscle strength and size, muscle quality, and functional capacity. Sports Med. 2023;53(2):503–18. https://doi.org/10.1007/s40279-022-01769-x. (Epub 20221028. PubMed PMID: 36307745).
Brahms CM, Hortobágyi T, Kressig RW, Granacher U. The interaction between mobility status and exercise specificity in older adults. Exerc Sport Sci Rev. 2021;49(1):15–22. https://doi.org/10.1249/jes.0000000000000237. (PubMed PMID: 33044331).
Haskell WL, Wolffe JB. Memorial lecture health. Consequences of physical activity: understanding and challenges regarding dose–response. Med Sci Sports Exerc. 1994;26(6):649–60. https://doi.org/10.1249/00005768-199406000-00001. (PubMed PMID: 8052103).
Radaelli R, Botton CE, Wilhelm EN, Bottaro M, Brown LE, Lacerda F, Gaya A, Moraes K, Peruzzolo A, Pinto RS. Time course of low- and high-volume strength training on neuromuscular adaptations and muscle quality in older women. Age (Dordr). 2014;36(2):881–92. https://doi.org/10.1007/s11357-013-9611-2. (Epub 20140111. PubMed PMID: 24414336; PubMed Central PMCID: PMC4039257).
Radaelli R, Wilhelm EN, Botton CE, Rech A, Bottaro M, Brown LE, Pinto RS. Effects of single vs. multiple-set short-term strength training in elderly women. Age (Dordr). 2014;36(6):9720. https://doi.org/10.1007/s11357-014-9720-6. (Epub 20141031. PubMed PMID: 25358552; PubMed Central PMCID: PMC4214965).
Galvão DA, Taaffe DR. Resistance exercise dosage in older adults: single- versus multiset effects on physical performance and body composition. J Am Geriatr Soc. 2005;53(12):2090–7. https://doi.org/10.1111/j.1532-5415.2005.00494.x. (PubMed PMID: 16398892).
Cunha PM, Nunes JP, Tomeleri CM, Nascimento MA, Schoenfeld BJ, Antunes M, Gobbo LA, Teixeira D, Cyrino ES. Resistance training performed with single and multiple sets induces similar improvements in muscular strength, muscle mass, muscle quality, and IGF-1 in older women: a randomized controlled trial. J Strength Cond Res. 2020;34(4):1008–16. https://doi.org/10.1519/jsc.0000000000002847. (PubMed PMID: 30272625).
Chen YC, Chen WC, Liu CW, Huang WY, Lu I, Lin CW, Huang RY, Chen JS, Huang CH. Is moderate resistance training adequate for older adults with sarcopenia? A systematic review and network meta-analysis of RCTs. Eur Rev Aging Phys Act. 2023;20(1):22. https://doi.org/10.1186/s11556-023-00333-4. (Epub 20231129. PubMed PMID: 38030985; PubMed Central PMCID: PMC10687931).
Shen Y, Shi Q, Nong K, Li S, Yue J, Huang J, Dong B, Beauchamp M, Hao Q. Exercise for sarcopenia in older people: a systematic review and network meta-analysis. J Cachexia Sarcopenia Muscle. 2023;14(3):1199–211. https://doi.org/10.1002/jcsm.13225. (Epub 20230414. PubMed PMID: 37057640; PubMed Central PMCID: PMC10235889).
Sun X, Liu W, Gao Y, Qin L, Feng H, Tan H, Chen Q, Peng L, Wu IXY. Comparative effectiveness of non-pharmacological interventions for frailty: a systematic review and network meta-analysis. Age Ageing. 2023. https://doi.org/10.1093/ageing/afad004.
Furlan AD, Pennick V, Bombardier C, van Tulder M. 2009 updated method guidelines for systematic reviews in the Cochrane Back Review Group. Spine (Phila Pa 1976). 2009;34(18):1929–41. https://doi.org/10.1097/BRS.0b013e3181b1c99f. (PubMed PMID: 19680101).
Ardern CL, Büttner F, Andrade R, Weir A, Ashe MC, Holden S, Impellizzeri FM, Delahunt E, Dijkstra HP, Mathieson S, Rathleff MS, Reurink G, Sherrington C, Stamatakis E, Vicenzino B, Whittaker JL, Wright AA, Clarke M, Moher D, Page MJ, Khan KM, Winters M. Statement items for systematic reviews in the sport and exercise medicine, musculoskeletal rehabilitation and sports science fields: the PERSiST (implementing Prisma in Exercise, Rehabilitation, Sport Medicine and Sports Science) guidance. Br J Sports Med. 2022;56(4):175–95.
Hutton B, Salanti G, Caldwell DM, Chaimani A, Schmid CH, Cameron C, Ioannidis JP, Straus S, Thorlund K, Jansen JP, Mulrow C, Catalá-López F, Gøtzsche PC, Dickersin K, Boutron I, Altman DG, Moher D. The PRISMA extension statement for reporting of systematic reviews incorporating network meta-analyses of health care interventions: checklist and explanations. Ann Intern Med. 2015;162(11):777–84. https://doi.org/10.7326/m14-2385. (Epub 2015/06/02. PubMed PMID: 26030634).
Higgins JDJ, Altman DG. Special topics in statistics. Cochrane handbook for systematic reviews of interventions; 2011. pp. 482–8.
Sterne JAC, Savović J, Page MJ, Elbers RG, Blencowe NS, Boutron I, Cates CJ, Cheng HY, Corbett MS, Eldridge SM, Emberson JR, Hernán MA, Hopewell S, Hróbjartsson A, Junqueira DR, Jüni P, Kirkham JJ, Lasserson T, Li T, McAleenan A, Reeves BC, Shepperd S, Shrier I, Stewart LA, Tilling K, White IR, Whiting PF, Higgins JPT. RoB 2: a revised tool for assessing risk of bias in randomised trials. Br Med J. 2019;366:l4898. https://doi.org/10.1136/bmj.l4898. (Epub 2019/08/30. PubMed PMID: 31462531).
Salanti G, Del Giovane C, Chaimani A, Caldwell DM, Higgins JP. Evaluating the quality of evidence from a network meta-analysis. PLoS ONE. 2014;9(7): e99682. https://doi.org/10.1371/journal.pone.0099682. (Epub 2014/07/06. PubMed PMID: 24992266; PubMed Central PMCID: PMC4084629).
Rücker G. Network meta-analysis, electrical networks and graph theory. Res Synth Methods. 2012;3(4):312–24. https://doi.org/10.1002/jrsm.1058. (Epub 20120925. PubMed PMID: 26053424).
Shim SR, Kim SJ, Lee J, Rücker G. Network meta-analysis: application and practice using R software. Epidemiol Health. 2019;41: e2019013. https://doi.org/10.4178/epih.e2019013. (Epub 20190408. PubMed PMID: 30999733; PubMed Central PMCID: PMC6635665).
Rücker G, Krahn U, König J, Efthimiou O, Davies A, Papakonstantinou T, Schwarzer G. netmeta: network meta-analysis using frequentist methods. R package version 2.1-1; 2022.
Jansen JP, Naci H. Is network meta-analysis as valid as standard pairwise meta-analysis? It all depends on the distribution of effect modifiers. BMC Med. 2013;11:159. https://doi.org/10.1186/1741-7015-11-159. (Epub 2013/07/06. PubMed PMID: 23826681; PubMed Central PMCID: PMC3707819).
Dias S, Welton NJ, Caldwell DM, Ades AE. Checking consistency in mixed treatment comparison meta-analysis. Stat Med. 2010;29(7–8):932–44. https://doi.org/10.1002/sim.3767. (Epub 2010/03/10. PubMed PMID: 20213715).
König J, Krahn U, Binder H. Visualizing the flow of evidence in network meta-analysis and characterizing mixed treatment comparisons. Stat Med. 2013;32(30):5414–29. https://doi.org/10.1002/sim.6001. (Epub 2013/10/15. PubMed PMID: 24123165).
Rücker G, Schwarzer G. Ranking treatments in frequentist network meta-analysis works without resampling methods. BMC Med Res Methodol. 2015;15:58. https://doi.org/10.1186/s12874-015-0060-8. (Epub 20150731. PubMed PMID: 26227148; PubMed Central PMCID: PMC4521472).
Petropoulou M, Salanti G, Rücker G, Schwarzer G, Moustaki I, Mavridis D. A forward search algorithm for detecting extreme study effects in network meta-analysis. Stat Med. 2021;40(25):5642–56. https://doi.org/10.1002/sim.9145. (Epub 2021/07/23. PubMed PMID: 34291499).
Petropoulou M, Schwarzer G, Panos A, Mavridis D. NMA outlier: detecting outliers in network meta-analysis. R package version 0.1.18. 2021.
Fiatarone MA, O’Neill EF, Ryan ND, Clements KM, Solares GR, Nelson ME, Roberts SB, Kehayias JJ, Lipsitz LA, Evans WJ. Exercise training and nutritional supplementation for physical frailty in very elderly people. N Engl J Med. 1994;330(25):1769–75. https://doi.org/10.1056/nejm199406233302501. (PubMed PMID: 8190152).
Ades PA, Ballor DL, Ashikaga T, Utton JL, Nair KS. Weight training improves walking endurance in healthy elderly persons. Ann Intern Med. 1996;124(6):568–72. https://doi.org/10.7326/0003-4819-124-6-199603150-00005. (PubMed PMID: 8597320).
Rall LC, Meydani SN, Kehayias JJ, Dawson-Hughes B, Roubenoff R. The effect of progressive resistance training in rheumatoid arthritis. Increased strength without changes in energy balance or body composition. Arthritis Rheum. 1996;39(3):415–26. https://doi.org/10.1002/art.1780390309. (PubMed PMID: 8607890).
Buchner DM, Cress ME, de Lateur BJ, Esselman PC, Margherita AJ, Price R, Wagner EH. The effect of strength and endurance training on gait, balance, fall risk, and health services use in community-living older adults. J Gerontol A Biol Sci Med Sci. 1997;52(4):M218–24. https://doi.org/10.1093/gerona/52a.4.m218. (PubMed PMID: 9224433).
Brandon LJ, Boyette LW, Gaasch DA, Lloyd A. Effects of lower extremity strength training on functional mobility in older adults. J Aging Phys Act. 2000;8(3):214–27.
Hagerman FC, Walsh SJ, Staron RS, Hikida RS, Gilders RM, Murray TF, Toma K, Ragg KE. Effects of high-intensity resistance training on untrained older men. I. Strength, cardiovascular, and metabolic responses. J Gerontol A Biol Sci Med Sci. 2000;55(7):B336–46. https://doi.org/10.1093/gerona/55.7.b336. (PubMed PMID: 10898247).
Parkhouse WS, Coupland DC, Li C, Vanderhoek KJ. IGF-1 bioavailability is increased by resistance training in older women with low bone mineral density. Mech Ageing Dev. 2000;113(2):75–83. https://doi.org/10.1016/s0047-6374(99)00103-7. (PubMed PMID: 10708256).
Hortobágyi T, Tunnel D, Moody J, Beam S, DeVita P. Low- or high-intensity strength training partially restores impaired quadriceps force accuracy and steadiness in aged adults. J Gerontol A Biol Sci Med Sci. 2001;56(1):B38–47. https://doi.org/10.1093/gerona/56.1.b38. (PubMed PMID: 11193224).
Hunter GR, Wetzstein CJ, McLafferty CL Jr, Zuckerman PA, Landers KA, Bamman MM. High-resistance versus variable-resistance training in older adults. Med Sci Sports Exerc. 2001;33(10):1759–64. https://doi.org/10.1097/00005768-200110000-00022. (PubMed PMID: 11581563).
Fahlman MM, Boardley D, Lambert CP, Flynn MG. Effects of endurance training and resistance training on plasma lipoprotein profiles in elderly women. J Gerontol A Biol Sci Med Sci. 2002;57(2):B54–60. https://doi.org/10.1093/gerona/57.2.b54. (PubMed PMID: 11818424).
Malliou P, Fatouros I, Beneka A, Gioftsidou A, Zissi V, Godolias G, Fotinakis P. Different training programs for improving muscular performance in healthy inactive elderly. Isokinet Exerc Sci. 2003;11(4):189–95.
Miszko TA, Cress ME, Slade JM, Covey CJ, Agrawal SK, Doerr CE. Effect of strength and power training on physical function in community-dwelling older adults. J Gerontol A Biol Sci Med Sci. 2003;58(2):171–5. https://doi.org/10.1093/gerona/58.2.m171. (PubMed PMID: 12586856).
Rabelo H, Oliveira R, Bottaro M. Effects of resistance training on activities of daily living in older women. Biol Sport. 2004;21(4):325–36.
Beneka A, Malliou P, Fatouros I, Jamurtas A, Gioftsidou A, Godolias G, Taxildaris K. Resistance training effects on muscular strength of elderly are related to intensity and gender. J Sci Med Sport. 2005;8(3):274–83. https://doi.org/10.1016/s1440-2440(05)80038-6. (PubMed PMID: 16248468).
DeBeliso M, Harris C, Spitzer-Gibson T, Adams KJ. A comparison of periodised and fixed repetition training protocol on strength in older adults. J Sci Med Sport. 2005;8(2):190–9. https://doi.org/10.1016/s1440-2440(05)80010-6. (PubMed PMID: 16075779).
Fatouros IG, Kambas A, Katrabasas I, Nikolaidis K, Chatzinikolaou A, Leontsini D, Taxildaris K. Strength training and detraining effects on muscular strength, anaerobic power, and mobility of inactive older men are intensity dependent. Br J Sports Med. 2005;39(10):776–80. https://doi.org/10.1136/bjsm.2005.019117. (PubMed PMID: 16183776; PubMed Central PMCID: PMC1725040).
Haykowsky M, McGavock J, Vonder Muhll I, Koller M, Mandic S, Welsh R, Taylor D. Effect of exercise training on peak aerobic power, left ventricular morphology, and muscle strength in healthy older women. J Gerontol A Biol Sci Med Sci. 2005;60(3):307–11. https://doi.org/10.1093/gerona/60.3.307. (PubMed PMID: 15860465).
Chin APMJ, van Poppel MN, Twisk JW, van Mechelen W. Once a week not enough, twice a week not feasible? A randomised controlled exercise trial in long-term care facilities [ISRCTN87177281]. Patient Educ Couns. 2006;63(1–2):205–14. https://doi.org/10.1016/j.pec.2005.10.008. (Epub 20060119. PubMed PMID: 16426800).
Simons R, Andel R. The effects of resistance training and walking on functional fitness in advanced old age. J Aging Health. 2006;18(1):91–105. https://doi.org/10.1177/0898264305281102. (PubMed PMID: 16470977).
Fahlman M, Morgan A, McNevin N, Topp R, Boardley D. Combination training and resistance training as effective interventions to improve functioning in elders. J Aging Phys Act. 2007;15(2):195–205. https://doi.org/10.1123/japa.15.2.195. (PubMed PMID: 17556785).
Bobeuf F, Labonté M, Khalil A, Dionne IJ. Effects of resistance training combined with antioxidant supplementation on fat-free mass and insulin sensitivity in healthy elderly subjects. Diabetes Res Clin Pract. 2010;87(1):e1–3. https://doi.org/10.1016/j.diabres.2009.10.001. (Epub 20091101. PubMed PMID: 19880208).
Kanegusuku H, Queiroz AC, Chehuen MR, Costa LA, Wallerstein LF, Mello MT, Ugrinowitsch C, Forjaz CL. Strength and power training did not modify cardiovascular responses to aerobic exercise in elderly subjects. Braz J Med Biol Res. 2011;44(9):864–70. https://doi.org/10.1590/s0100-879x2011007500100. (Epub 20110812. PubMed PMID: 21845341).
Vincent HK, Bourguignon C, Vincent KR. Resistance training lowers exercise-induced oxidative stress and homocysteine levels in overweight and obese older adults. Obesity (Silver Spring). 2006;14(11):1921–30. https://doi.org/10.1038/oby.2006.224. (PubMed PMID: 17135607).
Campos ALP, Del Ponte LdS, Cavalli AS, Afonso MdR, Schild JFG, Reichert FF. Efeitos do treinamento concorrente sobre aspectos da saúde de idosas. Braz J Kinathrop Hum Perform. 2013;15:437–47.
Bento PC, Rodacki AL. Muscle function in aged women in response to a water-based exercises program and progressive resistance training. Geriatr Gerontol Int. 2015;15(11):1193–200. https://doi.org/10.1111/ggi.12418. (Epub 20141211. PubMed PMID: 25495858).
Uematsu A, Tsuchiya K, Kadono N, Kobayashi H, Kaetsu T, Hortobágyi T, Suzuki S. A behavioral mechanism of how increases in leg strength improve old adults’ gait speed. PLoS ONE. 2014;9(10): e110350. https://doi.org/10.1371/journal.pone.0110350. (Epub 20141013. PubMed PMID: 25310220; PubMed Central PMCID: PMC4195722).
Frank P, Andersson E, Pontén M, Ekblom B, Ekblom M, Sahlin K. Strength training improves muscle aerobic capacity and glucose tolerance in elderly. Scand J Med Sci Sports. 2016;26(7):764–73. https://doi.org/10.1111/sms.12537. (Epub 20150814. PubMed PMID: 26271931).
Ribeiro AS, Schoenfeld BJ, Pina FL, Souza MF, Nascimento MA, dos Santos L, Antunes M, Cyrino ES. Resistance training in older women: comparison of single vs. multiple sets on muscle strength and body composition. Isokinet Exerc Sci. 2015;23(1):53–60.
Gambassi BB, Rodrigues B, Feriani DJ, de Jesus Furtado AF, Sauaia BA, Schwingel PA, de Moraes OA, Pulcherio JOB, Andrade MFB, Mostarda CT. Effects of resistance training of moderate intensity on heart rate variability, body composition, and muscle strength in healthy elderly women. Sport Sci Health. 2016;12:389–95.
Sundstrup E, Jakobsen MD, Andersen LL, Andersen TR, Randers MB, Helge JW, Suetta C, Schmidt JF, Bangsbo J, Krustrup P, Aagaard P. Positive effects of 1-year football and strength training on mechanical muscle function and functional capacity in elderly men. Eur J Appl Physiol. 2016;116(6):1127–38. https://doi.org/10.1007/s00421-016-3368-0. (Epub 20160411. PubMed PMID: 27068158.).
Monteiro A, Bartolomeu RF, Forte P, Carvalho J. Los efectos de tres tipos diferentes de entrenamiento en la aptitud funcional y la composición corporal en mujeres mayores. J Sport Health Res. 2019;11(3).
Richardson DL, Duncan MJ, Jimenez A, Juris PM, Clarke ND. Effects of movement velocity and training frequency of resistance exercise on functional performance in older adults: a randomised controlled trial. Eur J Sport Sci. 2019;19(2):234–46. https://doi.org/10.1080/17461391.2018.1497709. (Epub 20180717. PubMed PMID: 30016185).
Hooshmand-Moghadam B, Eskandari M, Golestani F, Rezae S, Mahmoudi N, Gaeini AA. The effect of 12-week resistance exercise training on serum levels of cellular aging process parameters in elderly men. Exp Gerontol. 2020;141:111090. https://doi.org/10.1016/j.exger.2020.111090. (Epub 20200909. PubMed PMID: 32919015).
Coelho-Júnior HJ, Uchida MC. Effects of low-speed and high-speed resistance training programs on frailty status, physical performance, cognitive function, and blood pressure in prefrail and frail older adults. Front Med (Lausanne). 2021;8:702436. https://doi.org/10.3389/fmed.2021.702436. (Epub 20210726. PubMed PMID: 34381802; PubMed Central PMCID: PMC8350041).
Charette SL, McEvoy L, Pyka G, Snow-Harter C, Guido D, Wiswell RA, Marcus R. Muscle hypertrophy response to resistance training in older women. J Appl Physiol. 1991;70(5):1912–6. https://doi.org/10.1152/jappl.1991.70.5.1912. (PubMed PMID: 1864770).
Pollock ML, Carroll JF, Graves JE, Leggett SH, Braith RW, Limacher M, Hagberg JM. Injuries and adherence to walk/jog and resistance training programs in the elderly. Med Sci Sports Exerc. 1991;23(10):1194–200 (PubMed PMID: 1758297).
Nichols JF, Omizo DK, Peterson KK, Nelson KP. Efficacy of heavy-resistance training for active women over sixty: muscular strength, body composition, and program adherence. J Am Geriatr Soc. 1993;41(3):205–10. https://doi.org/10.1111/j.1532-5415.1993.tb06692.x. (PubMed PMID: 8440838).
Judge JO, Whipple RH, Wolfson LI. Effects of resistive and balance exercises on isokinetic strength in older persons. J Am Geriatr Soc. 1994;42(9):937–46. https://doi.org/10.1111/j.1532-5415.1994.tb06584.x. (PubMed PMID: 8064101).
Pyka G, Lindenberger E, Charette S, Marcus R. Muscle strength and fiber adaptations to a year-long resistance training program in elderly men and women. J Gerontol. 1994;49(1):M22–7. https://doi.org/10.1093/geronj/49.1.m22. (PubMed PMID: 8282977).
McCartney N, Hicks AL, Martin J, Webber CE. Long-term resistance training in the elderly: effects on dynamic strength, exercise capacity, muscle, and bone. J Gerontol A Biol Sci Med Sci. 1995;50(2):B97-104. https://doi.org/10.1093/gerona/50a.2.b97. (PubMed PMID: 7874586).
Sipilä S, Suominen H. Effects of strength and endurance training on thigh and leg muscle mass and composition in elderly women. J Appl Physiol (1985). 1995;78(1):334–40. https://doi.org/10.1152/jappl.1995.78.1.334. (PubMed PMID: 7713834).
Taaffe DR, Pruitt L, Reim J, Butterfield G, Marcus R. Effect of sustained resistance training on basal metabolic rate in older women. J Am Geriatr Soc. 1995;43(5):465–71. https://doi.org/10.1111/j.1532-5415.1995.tb06090.x. (PubMed PMID: 7730525).
Sipilä S, Multanen J, Kallinen M, Era P, Suominen H. Effects of strength and endurance training on isometric muscle strength and walking speed in elderly women. Acta Physiol Scand. 1996;156(4):457–64. https://doi.org/10.1046/j.1365-201X.1996.461177000.x. (PubMed PMID: 8732251).
Taaffe DR, Pruitt L, Pyka G, Guido D, Marcus R. Comparative effects of high- and low-intensity resistance training on thigh muscle strength, fiber area, and tissue composition in elderly women. Clin Physiol. 1996;16(4):381–92. https://doi.org/10.1111/j.1475-097x.1996.tb00727.x. (PubMed PMID: 8842574).
Tsutsumi T, Don BM, Zaichkowsky LD, Takenaka K, Oka K, Ohno T. Comparison of high and moderate intensity of strength training on mood and anxiety in older adults. Percept Mot Skills. 1998;87(3 Pt 1):1003–11. https://doi.org/10.2466/pms.1998.87.3.1003. (PubMed PMID: 9885072).
Taaffe DR, Duret C, Wheeler S, Marcus R. Once-weekly resistance exercise improves muscle strength and neuromuscular performance in older adults. J Am Geriatr Soc. 1999;47(10):1208–14. https://doi.org/10.1111/j.1532-5415.1999.tb05201.x. (PubMed PMID: 10522954).
Haykowsky M, Humen D, Teo K, Quinney A, Souster M, Bell G, Taylor D. Effects of 16 weeks of resistance training on left ventricular morphology and systolic function in healthy men >60 years of age. Am J Cardiol. 2000;85(8):1002–6. https://doi.org/10.1016/s0002-9149(99)00918-2. (PubMed PMID: 10760343).
Rhodes EC, Martin AD, Taunton JE, Donnelly M, Warren J, Elliot J. Effects of one year of resistance training on the relation between muscular strength and bone density in elderly women. Br J Sports Med. 2000;34(1):18–22. https://doi.org/10.1136/bjsm.34.1.18. (PubMed PMID: 10690445; PubMed Central PMCID: PMC1724140).
Jubrias SA, Esselman PC, Price LB, Cress ME, Conley KE. Large energetic adaptations of elderly muscle to resistance and endurance training. J Appl Physiol (1985). 2001;90(5):1663–70. https://doi.org/10.1152/jappl.2001.90.5.1663. (PubMed PMID: 11299253).
Panton LB, Franke WD, Bleil DA, Baier SM, King DS. Effects of resistance training on cardiovascular responses to lower body negative pressure in the elderly. Clin Physiol. 2001;21(5):605–11. https://doi.org/10.1046/j.1365-2281.2001.00357.x. (PubMed PMID: 11576162).
Schlicht J, Camaione DN, Owen SV. Effect of intense strength training on standing balance, walking speed, and sit-to-stand performance in older adults. J Gerontol A Biol Sci Med Sci. 2001;56(5):M281–6. https://doi.org/10.1093/gerona/56.5.m281. (PubMed PMID: 11320107).
Fatouros IG, Taxildaris K, Tokmakidis SP, Kalapotharakos V, Aggelousis N, Athanasopoulos S, Zeeris I, Katrabasas I. The effects of strength training, cardiovascular training and their combination on flexibility of inactive older adults. Int J Sports Med. 2002;23(2):112–9. https://doi.org/10.1055/s-2002-20130. (PubMed PMID: 11842358).
Lange KH, Andersen JL, Beyer N, Isaksson F, Larsson B, Rasmussen MH, Juul A, Bülow J, Kjaer M. GH administration changes myosin heavy chain isoforms in skeletal muscle but does not augment muscle strength or hypertrophy, either alone or combined with resistance exercise training in healthy elderly men. J Clin Endocrinol Metab. 2002;87(2):513–23. https://doi.org/10.1210/jcem.87.2.8206. (PubMed PMID: 11836279).
Vincent KR, Braith RW, Feldman RA, Magyari PM, Cutler RB, Persin SA, Lennon SL, Gabr AH, Lowenthal DT. Resistance exercise and physical performance in adults aged 60 to 83. J Am Geriatr Soc. 2002;50(6):1100–7. https://doi.org/10.1046/j.1532-5415.2002.50267.x. (PubMed PMID: 12110072).
Frontera WR, Hughes VA, Krivickas LS, Kim SK, Foldvari M, Roubenoff R. Strength training in older women: early and late changes in whole muscle and single cells. Muscle Nerve. 2003;28(5):601–8. https://doi.org/10.1002/mus.10480. (PubMed PMID: 14571463).
Kalapotharakos VI, Michalopoulou M, Godolias G, Tokmakidis SP, Malliou PV, Gourgoulis V. The effects of high- and moderate-resistance training on muscle function in the elderly. J Aging Phys Act. 2004;12(2):131–43. https://doi.org/10.1123/japa.12.2.131. (PubMed PMID: 15223882).
Liu-Ambrose T, Khan KM, Eng JJ, Lord SR, McKay HA. Balance confidence improves with resistance or agility training. Increase is not correlated with objective changes in fall risk and physical abilities. Gerontology. 2004;50(6):373–82. https://doi.org/10.1159/000080175.
Reeves ND, Narici MV, Maganaris CN. Effect of resistance training on skeletal muscle-specific force in elderly humans. J Appl Physiol (1985). 2004;96(3):885–92. https://doi.org/10.1152/japplphysiol.00688.2003. (Epub 20031024. PubMed PMID: 14578365).
Tracy BL, Byrnes WC, Enoka RM. Strength training reduces force fluctuations during anisometric contractions of the quadriceps femoris muscles in old adults. J Appl Physiol (1985). 2004;96(4):1530–40. https://doi.org/10.1152/japplphysiol.00861.2003. (Epub 20031017. PubMed PMID: 14565966).
de Vreede PL, Samson MM, van Meeteren NL, Duursma SA, Verhaar HJ. Functional-task exercise versus resistance strength exercise to improve daily function in older women: a randomized, controlled trial. J Am Geriatr Soc. 2005;53(1):2–10. https://doi.org/10.1111/j.1532-5415.2005.53003.x. (PubMed PMID: 15667369).
Sousa N, Sampaio J. Effects of progressive strength training on the performance of the functional reach test and the timed get-up-and-go test in an elderly population from the rural north of Portugal. Am J Hum Biol. 2005;17(6):746–51. https://doi.org/10.1002/ajhb.20446. (PubMed PMID: 16254902).
Fatouros IG, Kambas A, Katrabasas I, Leontsini D, Chatzinikolaou A, Jamurtas AZ, Douroudos I, Aggelousis N, Taxildaris K. Resistance training and detraining effects on flexibility performance in the elderly are intensity-dependent. J Strength Cond Res. 2006;20(3):634–42. https://doi.org/10.1519/r-17615.1. (PubMed PMID: 16937978).
Henwood TR, Taaffe DR. Short-term resistance training and the older adult: the effect of varied programmes for the enhancement of muscle strength and functional performance. Clin Physiol Funct Imaging. 2006;26(5):305–13. https://doi.org/10.1111/j.1475-097X.2006.00695.x. (PubMed PMID: 16939509).
Cassilhas RC, Viana VA, Grassmann V, Santos RT, Santos RF, Tufik S, Mello MT. The impact of resistance exercise on the cognitive function of the elderly. Med Sci Sports Exerc. 2007;39(8):1401–7. https://doi.org/10.1249/mss.0b013e318060111f. (PubMed PMID: 17762374).
Kalapotharakos V, Smilios I, Parlavatzas A, Tokmakidis SP. The effect of moderate resistance strength training and detraining on muscle strength and power in older men. J Geriatr Phys Ther. 2007;30(3):109–13. https://doi.org/10.1519/00139143-200712000-00005. (PubMed PMID: 18171494).
Kryger AI, Andersen JL. Resistance training in the oldest old: consequences for muscle strength, fiber types, fiber size, and MHC isoforms. Scand J Med Sci Sports. 2007;17(4):422–30. https://doi.org/10.1111/j.1600-0838.2006.00575.x. (Epub 20070509. PubMed PMID: 17490465).
Reid KF, Callahan DM, Carabello RJ, Phillips EM, Frontera WR, Fielding RA. Lower extremity power training in elderly subjects with mobility limitations: a randomized controlled trial. Aging Clin Exp Res. 2008;20(4):337–43. https://doi.org/10.1007/bf03324865. (PubMed PMID: 18852547; PubMed Central PMCID: PMC2673568).
Granacher U, Gruber M, Gollhofer A. Resistance training and neuromuscular performance in seniors. Int J Sports Med. 2009;30(9):652–7. https://doi.org/10.1055/s-0029-1224178. (Epub 20090630. PubMed PMID: 19569007).
Marsh AP, Miller ME, Rejeski WJ, Hutton SL, Kritchevsky SB. Lower extremity muscle function after strength or power training in older adults. J Aging Phys Act. 2009;17(4):416–43. https://doi.org/10.1123/japa.17.4.416. (PubMed PMID: 19940322; PubMed Central PMCID: PMC4318571).
Strasser B, Keinrad M, Haber P, Schobersberger W. Efficacy of systematic endurance and resistance training on muscle strength and endurance performance in elderly adults—a randomized controlled trial. Wien Klin Wochenschr. 2009;121(23–24):757–64. https://doi.org/10.1007/s00508-009-1273-9. (PubMed PMID: 20047114).
Kalapotharakos VI, Diamantopoulos K, Tokmakidis SP. Effects of resistance training and detraining on muscle strength and functional performance of older adults aged 80 to 88 years. Aging Clin Exp Res. 2010;22(2):134–40. https://doi.org/10.1007/bf03324786. (PubMed PMID: 20440099).
Lovell DI, Cuneo R, Gass GC. The effect of strength training and short-term detraining on maximum force and the rate of force development of older men. Eur J Appl Physiol. 2010;109(3):429–35. https://doi.org/10.1007/s00421-010-1375-0. (Epub 20100207. PubMed PMID: 20140683).
Ahtiainen JP, Hulmi JJ, Kraemer WJ, Lehti M, Nyman K, Selänne H, Alen M, Pakarinen A, Komulainen J, Kovanen V, Mero AA, Häkkinen K. Heavy resistance exercise training and skeletal muscle androgen receptor expression in younger and older men. Steroids. 2011;76(1–2):183–92. https://doi.org/10.1016/j.steroids.2010.10.012. (Epub 20101109. PubMed PMID: 21070797).
Rabelo HT, Bezerra LA, Terra DF, Lima RM, Silva MA, Leite TK, de Oliveira RJ. Effects of 24 weeks of progressive resistance training on knee extensors peak torque and fat-free mass in older women. J Strength Cond Res. 2011;25(8):2298–303. https://doi.org/10.1519/JSC.0b013e3181e86106. (PubMed PMID: 21606859).
Correa CS, LaRoche DP, Cadore EL, Reischak-Oliveira A, Bottaro M, Kruel LF, Tartaruga MP, Radaelli R, Wilhelm EN, Lacerda FC, Gaya AR, Pinto RS. 3 Different types of strength training in older women. Int J Sports Med. 2012;33(12):962–9. https://doi.org/10.1055/s-0032-1312648. (Epub 20120710. PubMed PMID: 22782384).
Locks RR, Costa TC, Koppe S, Yamaguti AM, Garcia MC, Gomes AR. Effects of strength and flexibility training on functional performance of healthy older people. Rev Bras Fisioter. 2012;16(3):184–90. https://doi.org/10.1590/s1413-35552012000300003. (PubMed PMID: 22801513).
Murlasits Z, Reed J, Wells K. Effect of resistance training frequency on physiological adaptations in older adults. J Exerc Sci Fit. 2012;10(1):28–32.
Raj IS, Bird SR, Westfold BA, Shield AJ. Effects of eccentrically biased versus conventional weight training in older adults. Med Sci Sports Exerc. 2012;44(6):1167–76. https://doi.org/10.1249/MSS.0b013e3182442ecd. (PubMed PMID: 22143107).
Wallerstein LF, Tricoli V, Barroso R, Rodacki AL, Russo L, Aihara AY, DaRochaCorreaFernandes A, DeMello MT, Ugrinowitsch C. Effects of strength and power training on neuromuscular variables in older adults. J Aging Phys Act. 2012;20(2):171–85. https://doi.org/10.1123/japa.20.2.171.
Bellomo R, Iodice P, Maffulli N, Maghradze T, Coco V, Saggini R. Muscle strength and balance training in sarcopenic elderly: a pilot study with randomized controlled trial. Eur J Inflamm. 2013;11(1):193–201.
Farinatti PT, Geraldes AA, Bottaro MF, Lima MV, Albuquerque RB, Fleck SJ. Effects of different resistance training frequencies on the muscle strength and functional performance of active women older than 60 years. J Strength Cond Res. 2013;27(8):2225–34. https://doi.org/10.1519/JSC.0b013e318278f0db. (PubMed PMID: 23168371).
Gerage AM, Forjaz CL, Nascimento MA, Januário RS, Polito MD, Cyrino ES. Cardiovascular adaptations to resistance training in elderly postmenopausal women. Int J Sports Med. 2013;34(9):806–13. https://doi.org/10.1055/s-0032-1331185. (Epub 20130304. PubMed PMID: 23459854).
Solberg PA, Kvamme NH, Raastad T, Ommundsen Y, Tomten SE, Halvari H, Loland NW, Hallén J. Effects of different types of exercise on muscle mass, strength, function and well-being in elderly. Eur J Sport Sci. 2013;13(1):112–25.
Yu W, An C, Kang H. Effects of resistance exercise using thera-band on balance of elderly adults: a randomized controlled trial. J Phys Ther Sci. 2013;25(11):1471–3. https://doi.org/10.1589/jpts.25.1471. (Epub 20131211. PubMed PMID: 24396213; PubMed Central PMCID: PMC3881480).
Fragala MS, Fukuda DH, Stout JR, Townsend JR, Emerson NS, Boone CH, Beyer KS, Oliveira LP, Hoffman JR. Muscle quality index improves with resistance exercise training in older adults. Exp Gerontol. 2014;53:1–6. https://doi.org/10.1016/j.exger.2014.01.027. (Epub 20140206. PubMed PMID: 24508922).
Gualano B, Macedo AR, Alves CR, Roschel H, Benatti FB, Takayama L, de Sá Pinto AL, Lima FR, Pereira RM. Creatine supplementation and resistance training in vulnerable older women: a randomized double-blind placebo-controlled clinical trial. Exp Gerontol. 2014;53:7–15. https://doi.org/10.1016/j.exger.2014.02.003. (Epub 20140213. PubMed PMID: 24530883).
Lopes PB, Pereira G, de Souza DM, Rodacki ALF. Comparison between strength and power training on elderly force-generating ability. Top Geriatr Rehabil. 2014;30(4):264–9.
Pinto RS, Correa CS, Radaelli R, Cadore EL, Brown LE, Bottaro M. Short-term strength training improves muscle quality and functional capacity of elderly women. Age (Dordr). 2014;36(1):365–72. https://doi.org/10.1007/s11357-013-9567-2. (Epub 20130724. PubMed PMID: 23881608; PubMed Central PMCID: PMC3889909).
Ramírez-Campillo R, Castillo A, de la Fuente CI, Campos-Jara C, Andrade DC, Álvarez C, Martínez C, Castro-Sepúlveda M, Pereira A, Marques MC, Izquierdo M. High-speed resistance training is more effective than low-speed resistance training to increase functional capacity and muscle performance in older women. Exp Gerontol. 2014;58:51–7. https://doi.org/10.1016/j.exger.2014.07.001. (Epub 20140709. PubMed PMID: 25014621).
Scanlon TC, Fragala MS, Stout JR, Emerson NS, Beyer KS, Oliveira LP, Hoffman JR. Muscle architecture and strength: adaptations to short-term resistance training in older adults. Muscle Nerve. 2014;49(4):584–92. https://doi.org/10.1002/mus.23969. (Epub 20140127. PubMed PMID: 23893353).
Kanegusuku H, Queiroz AC, Silva VJ, de Mello MT, Ugrinowitsch C, Forjaz CL. High-intensity progressive resistance training increases strength with no change in cardiovascular function and autonomic neural regulation in older adults. J Aging Phys Act. 2015;23(3):339–45. https://doi.org/10.1123/japa.2012-0324. (Epub 20140708. PubMed PMID: 25007720).
Martins WR, Safons MP, Bottaro M, Blasczyk JC, Diniz LR, Fonseca RM, Bonini-Rocha AC, de Oliveira RJ. Effects of short term elastic resistance training on muscle mass and strength in untrained older adults: a randomized clinical trial. BMC Geriatr. 2015;15:99. https://doi.org/10.1186/s12877-015-0101-5. (Epub 20150812. PubMed PMID: 26265075; PubMed Central PMCID: PMC4533950).
Prestes J, da Cunha ND, Tibana RA, Teixeira TG, Vieira DC, Tajra V, de Farias DL, Silva AO, Funghetto SS, de Souza VC, Navalta JW. Understanding the individual responsiveness to resistance training periodization. Age (Dordr). 2015;37(3):9793. https://doi.org/10.1007/s11357-015-9793-x.
Strandberg E, Edholm P, Ponsot E, Wåhlin-Larsson B, Hellmén E, Nilsson A, Engfeldt P, Cederholm T, Risérus U, Kadi F. Influence of combined resistance training and healthy diet on muscle mass in healthy elderly women: a randomized controlled trial. J Appl Physiol (1985). 2015;119(8):918–25. https://doi.org/10.1152/japplphysiol.00066.2015. (Epub 20150903. PubMed PMID: 26338453).
Tieland M, Verdijk LB, de Groot LC, van Loon LJ. Handgrip strength does not represent an appropriate measure to evaluate changes in muscle strength during an exercise intervention program in frail older people. Int J Sport Nutr Exerc Metab. 2015;25(1):27–36. https://doi.org/10.1123/ijsnem.2013-0123. (Epub 20140605. PubMed PMID: 24903908).
Canuto Wanderley FA, Oliveira NL, Marques E, Moreira P, Oliveira J, Carvalho J. Aerobic versus resistance training effects on health-related quality of life, body composition, and function of older adults. J Appl Gerontol. 2015;34(3):Np143–65. https://doi.org/10.1177/0733464812468502. (Epub 20130102. PubMed PMID: 24652860).
Andersen TR, Schmidt JF, Pedersen MT, Krustrup P, Bangsbo J. The effects of 52 weeks of soccer or resistance training on body composition and muscle function in +65-year-old healthy males—a randomized controlled trial. PLoS ONE. 2016;11(2): e0148236. https://doi.org/10.1371/journal.pone.0148236. (Epub 20160217. PubMed PMID: 26886262; PubMed Central PMCID: PMC4757560).
Flack KD, Davy BM, DeBerardinis M, Boutagy NE, McMillan RP, Hulver MW, Frisard MI, Anderson AS, Savla J, Davy KP. Resistance exercise training and in vitro skeletal muscle oxidative capacity in older adults. Physiol Rep. 2016. https://doi.org/10.14814/phy2.12849. (PubMed PMID: 27405968; PubMed Central PMCID: PMC4945835).
Lopes PB, Pereira G, Lodovico A, Bento PC, Rodacki AL. Strength and power training effects on lower limb force, functional capacity, and static and dynamic balance in older female adults. Rejuvenation Res. 2016;19(5):385–93. https://doi.org/10.1089/rej.2015.1764. (Epub 20160303. PubMed PMID: 26707497).
Park J. Effects of 24-week resistance exercise training on carotid peak systolic and end diastolic flow velocity in healthy older adults. J Phys Ther Sci. 2016;28(10):2793–7. https://doi.org/10.1589/jpts.28.2793. (Epub 20161028. PubMed PMID: 27821937; PubMed Central PMCID: PMC5088128).
Yasuda T, Fukumura K, Tomaru T, Nakajima T. Thigh muscle size and vascular function after blood flow-restricted elastic band training in older women. Oncotarget. 2016;7(23):33595–607. https://doi.org/10.18632/oncotarget.9564. (PubMed PMID: 27244884; PubMed Central PMCID: PMC5085105).
Chen HT, Chung YC, Chen YJ, Ho SY, Wu HJ. Effects of different types of exercise on body composition, muscle strength, and IGF-1 in the elderly with sarcopenic obesity. J Am Geriatr Soc. 2017;65(4):827–32. https://doi.org/10.1111/jgs.14722. (Epub 20170215. PubMed PMID: 28205203).
Coelho HJJ, Rodrigues B, de Oliveira Gonçalves I, Uchida MC. Effects of a short-term detraining period on muscle functionality and cognition of strength-trained older women: a preliminary report. J Exerc Rehabil. 2017;13(5):559–67. https://doi.org/10.2965/jer.1735010.505.
Cook SB, LaRoche DP, Villa MR, Barile H, Manini TM. Blood flow restricted resistance training in older adults at risk of mobility limitations. Exp Gerontol. 2017;99:138–45. https://doi.org/10.1016/j.exger.2017.10.004. (Epub 20171005. PubMed PMID: 28987643; PubMed Central PMCID: PMC5660944).
Cunha PM, Ribeiro AS, Tomeleri CM, Schoenfeld BJ, Silva AM, Souza MF, Nascimento MA, Sardinha LB, Cyrino ES. The effects of resistance training volume on osteosarcopenic obesity in older women. J Sports Sci. 2018;36(14):1564–71. https://doi.org/10.1080/02640414.2017.1403413. (Epub 20171110. PubMed PMID: 29125017).
Duff WR, Chilibeck PD, Candow DG, Gordon JJ, Mason RS, Taylor-Gjevre R, Nair B, Szafron M, Baxter-Jones A, Zello GA, Kontulainen SA. Effects of ibuprofen and resistance training on bone and muscle: a randomized controlled trial in older women. Med Sci Sports Exerc. 2017;49(4):633–40. https://doi.org/10.1249/mss.0000000000001172. (PubMed PMID: 27875501).
Edholm P, Strandberg E, Kadi F. Lower limb explosive strength capacity in elderly women: effects of resistance training and healthy diet. J Appl Physiol. 2017;123(1):190–6. https://doi.org/10.1152/japplphysiol.00924.2016. (Epub 20170504. PubMed PMID: 28473614).
Liao CD, Tsauo JY, Lin LF, Huang SW, Ku JW, Chou LC, Liou TH. Effects of elastic resistance exercise on body composition and physical capacity in older women with sarcopenic obesity: a CONSORT-compliant prospective randomized controlled trial. Medicine (Baltimore). 2017;96(23): e7115. https://doi.org/10.1097/md.0000000000007115. (PubMed PMID: 28591061; PubMed Central PMCID: PMC5466239).
Tomeleri CM, Souza MF, Burini RC, Cavaglieri CR, Ribeiro AS, Antunes M, Nunes JP, Venturini D, Barbosa DS, Sardinha LB, Cyrino ES. Resistance training reduces metabolic syndrome and inflammatory markers in older women: a randomized controlled trial. J Diabetes. 2018;10(4):328–37. https://doi.org/10.1111/1753-0407.12614. (Epub 20171211. PubMed PMID: 29031002).
Vale RGdS, Ferrão MLD, Nunes RdAM, Silva JBd, Nodari RJ, Dantas EHM. Muscle strength, GH and IGF-1 in older women submitted to land and aquatic resistance training. Braz J Sports Med. 2017;23:274–9.
Walker S, Haff GG, Häkkinen K, Newton RU. Moderate-load muscular endurance strength training did not improve peak power or functional capacity in older men and women. Front Physiol. 2017;8:743. https://doi.org/10.3389/fphys.2017.00743. (Epub 20170926. PubMed PMID: 29018363; PubMed Central PMCID: PMC5623052).
Cavalcante EF, Ribeiro AS, do Nascimento MA, Silva AM, Tomeleri CM, Nabuco HCG, Pina FLC, Mayhew JL, Da Silva-Grigoletto ME, da Silva DRP, Fleck SJ, Cyrino ES. Effects of different resistance training frequencies on fat in overweight/obese older women. Int J Sports Med. 2018;39(7):527–34. https://doi.org/10.1055/a-0599-6555. (Epub 20180518. PubMed PMID: 29775988).
do Nascimento MA, Gerage AM, Januário RS, Pina FL, Gobbo LA, Mayhew JL, Cyrino ES. Resistance training with dietary intake maintenance increases strength without altering body composition in older women. J Sports Med Phys Fitness. 2018;58(4):457–64. https://doi.org/10.3736/s0022-4707.16.06730-x. (Epub 20161013. PubMed PMID: 27735890).
Mazini Filho ML, Aidar FJ, Gama de Matos D, Costa Moreira O, Patrocínio de Oliveira CE, Rezende de Oliveira Venturini G, Magalhães Curty V, Menezes Touguinha H, Caputo Ferreira ME. Circuit strength training improves muscle strength, functional performance and anthropometric indicators in sedentary elderly women. J Sports Med Phys Fitness. 2018;58(7–8):1029–36. https://doi.org/10.23736/s0022-4707.17.06903-1. (Epub 20170426. PubMed PMID: 28474873).
Fritz NB, Juesas Á, Gargallo P, Calatayud J, Fernández-Garrido J, Rogers ME, Colado JC. Positive effects of a short-term intense elastic resistance training program on body composition and physical functioning in overweight older women. Biol Res Nurs. 2018;20(3):321–34. https://doi.org/10.1177/1099800418757676. (Epub 20180211. PubMed PMID: 29430940).
Gargallo P, Colado JC, Juesas A, Hernando-Espinilla A, Estañ-Capell N, Monzó-Beltran L, García-Pérez P, Cauli O, Sáez GT. The effect of moderate-versus high-intensity resistance training on systemic redox state and DNA damage in healthy older women. Biol Res Nurs. 2018;20(2):205–17. https://doi.org/10.1177/1099800417753877. (Epub 20180123. PubMed PMID: 29361834).
Cebrià IIM, Balasch-Bernat M, Tortosa-Chuliá M, Balasch-Parisi S. Effects of resistance training of peripheral muscles versus respiratory muscles in older adults with sarcopenia who are institutionalized: a randomized controlled trial. J Aging Phys Act. 2018;26(4):637–46. https://doi.org/10.1123/japa.2017-0268. (Epub 20180827. PubMed PMID: 29431561).
Letieri RV, Teixeira AM, Furtado GE, Lamboglia CG, Rees JL, Gomes BB. Effect of 16 weeks of resistance exercise and detraining comparing two methods of blood flow restriction in muscle strength of healthy older women: a randomized controlled trial. Exp Gerontol. 2018;114:78–86. https://doi.org/10.1016/j.exger.2018.10.017. (Epub 20181101. PubMed PMID: 30391274).
Saeterbakken AH, Bårdstu HB, Brudeseth A, Andersen V. Effects of strength training on muscle properties, physical function, and physical activity among frail older people: a pilot study. J Aging Res. 2018;2018:8916274. https://doi.org/10.1155/2018/8916274. (Epub 20180603. PubMed PMID: 29988285; PubMed Central PMCID: PMC6008824).
Watanabe K, Holobar A, Mita Y, Kouzaki M, Ogawa M, Akima H, Moritani T. Effect of resistance training and fish protein intake on motor unit firing pattern and motor function of elderly. Front Physiol. 2018;9:1733. https://doi.org/10.3389/fphys.2018.01733. (Epub 20181204. PubMed PMID: 30564141; PubMed Central PMCID: PMC6288440).
Carral JMC, Rodríguez AL, Cardalda IM, Bezerra J. Muscle strength training program in nonagenarians—a randomized controlled trial. Rev Assoc Med Bras. 2019;65(6):851–6. https://doi.org/10.1590/1806-9282.65.6.851. (Epub 20190722. PubMed PMID: 31340316).
Coelho-Júnior HJ, de Oliveira Gonçalvez I, Sampaio RAC, Sewo Sampaio PY, Cadore EL, Izquierdo M, Marzetti E, Uchida MC. Periodized and non-periodized resistance training programs on body composition and physical function of older women. Exp Gerontol. 2019;121:10–8. https://doi.org/10.1016/j.exger.2019.03.001. (Epub 20190309. PubMed PMID: 30862526).
Eriksen CS, Svensson RB, Gylling AT, Couppé C, Magnusson SP, Kjaer M. Load magnitude affects patellar tendon mechanical properties but not collagen or collagen cross-linking after long-term strength training in older adults. BMC Geriatr. 2019;19(1):30. https://doi.org/10.1186/s12877-019-1043-0. (Epub 20190131. PubMed PMID: 30704412; PubMed Central PMCID: PMC6357404).
Krause M, Crognale D, Cogan K, Contarelli S, Egan B, Newsholme P, De Vito G. The effects of a combined bodyweight-based and elastic bands resistance training, with or without protein supplementation, on muscle mass, signaling and heat shock response in healthy older people. Exp Gerontol. 2019;115:104–13. https://doi.org/10.1016/j.exger.2018.12.004. (Epub 20181205. PubMed PMID: 30529477).
Lee H, Kim IG, Sung C, Jeon TB, Cho K, Ha YC, Park KS, Yoo JI, Kang GH, Kim SJ, Kim JS. Exercise training increases skeletal muscle strength independent of hypertrophy in older adults aged 75 years and older. Geriatr Gerontol Int. 2019;19(3):265–70. https://doi.org/10.1111/ggi.13597. (Epub 20190108. PubMed PMID: 30623548).
Lee SR, Jo E, Khamoui AV. Chronic fish oil consumption with resistance training improves grip strength, physical function, and blood pressure in community-dwelling older adults. Sports (Basel). 2019;7(7). https://doi.org/10.3390/sports7070167. (Epub 20190709. PubMed PMID: 31323951; PubMed Central PMCID: PMC6680896).
Mafi F, Biglari S, Ghardashi Afousi A, Gaeini AA. Improvement in skeletal muscle strength and plasma levels of follistatin and myostatin induced by an 8-week resistance training and epicatechin supplementation in sarcopenic older adults. J Aging Phys Act. 2019;27(3):384–91. https://doi.org/10.1123/japa.2017-0389. (Epub 20190227. PubMed PMID: 30299198).
Pina FLC, Nunes JP, Schoenfeld BJ, Nascimento MA, Gerage AM, Januário RSB, Carneiro NH, Cyrino ES, Oliveira AR. Effects of different weekly sets-equated resistance training frequencies on muscular strength, muscle mass, and body fat in older women. J Strength Cond Res. 2020;34(10):2990–5. https://doi.org/10.1519/jsc.0000000000003130. (PubMed PMID: 30908365).
Pina FLC, Nunes JP, Nascimento MA, Ribeiro AS, Mayhew JL, Cyrino ES. Similar effects of 24 weeks of resistance training performed with different frequencies on muscle strength, muscle mass, and muscle quality in older women. Int J Exerc Sci. 2019;12(6):623–35 (Epub 20190501. PubMed PMID: 31156757; PubMed Central PMCID: PMC6533095).
Pirauá ALT, Cavalcante BR, de Oliveira VMA, Beltrão NB, de Amorim BG, Pitangui ACR, Behm D, de Araújo RC. Effect of 24-week strength training on unstable surfaces on mobility, balance, and concern about falling in older adults. Scand J Med Sci Sports. 2019;29(11):1805–12. https://doi.org/10.1111/sms.13510. (Epub 20190726. PubMed PMID: 31273863).
Urzi F, Marusic U, Ličen S, Buzan E. Effects of elastic resistance training on functional performance and myokines in older women—a randomized controlled trial. J Am Med Dir Assoc. 2019;20(7):830-834.e2. https://doi.org/10.1016/j.jamda.2019.01.151. (Epub 20190320. PubMed PMID: 30902674).
Vezzoli A, Mrakic-Sposta S, Montorsi M, Porcelli S, Vago P, Cereda F, Longo S, Maggio M, Narici M. Moderate intensity resistive training reduces oxidative stress and improves muscle mass and function in older individuals. Antioxidants (Basel). 2019;8(10). https://doi.org/10.3390/antiox8100431(Epub 20190926. PubMed PMID: 31561586; PubMed Central PMCID: PMC6826968).
Yamada M, Kimura Y, Ishiyama D, Nishio N, Otobe Y, Tanaka T, Ohji S, Koyama S, Sato A, Suzuki M, Ogawa H, Ichikawa T, Ito D, Arai H. Synergistic effect of bodyweight resistance exercise and protein supplementation on skeletal muscle in sarcopenic or dynapenic older adults. Geriatr Gerontol Int. 2019;19(5):429–37. https://doi.org/10.1111/ggi.13643. (Epub 20190313. PubMed PMID: 30864254).
Ziegler AK, Jensen SM, Schjerling P, Mackey AL, Andersen JL, Kjaer M. The effect of resistance exercise upon age-related systemic and local skeletal muscle inflammation. Exp Gerontol. 2019;121:19–32. https://doi.org/10.1016/j.exger.2019.03.007. (Epub 20190321. PubMed PMID: 30905721).
Cavalcante BR, de Souza MF, Falck RS, Liu-Ambrose T, Behm DG, Pitangui ACR, de Araújo RC. Effects of resistance exercise with instability on cognitive function (rei study): a proof-of-concept randomized controlled trial in older adults with cognitive complaints. J Alzheimers Dis. 2020;77(1):227–39. https://doi.org/10.3233/jad-200349. (PubMed PMID: 32804132).
dos Santos L, Ribeiro AS, Gobbo LA, Nunes JP, Cunha PM, Campa F, Toselli S, Schoenfeld BJ, Sardinha LB, Cyrino ES. Effects of resistance training with different pyramid systems on bioimpedance vector patterns, body composition, and cellular health in older women: a randomized controlled trial. Sustainability. 2020;12(16):6658.
Fritz NB, Gargallo P, Juesas A, Flandez J, Furtado GE, Teixeira AM, Colado JC. High-and moderate-intensity resistance training provokes different effects on body composition, functionality, and well-being in elderly. J Hum Sport Exerc. 2021;16(2):S335–52.
Gylling AT, Bloch-Ibenfeldt M, Eriksen CS, Ziegler AK, Wimmelmann CL, Baekgaard M, Boraxbekk CJ, Siebner HR, Mortensen EL, Kjaer M. Maintenance of muscle strength following a one-year resistance training program in older adults. Exp Gerontol. 2020;139:111049. https://doi.org/10.1016/j.exger.2020.111049. (Epub 20200808. PubMed PMID: 32781112).
Lopez P, Crosby BJ, Robetti BP, Turella DJP, Weber TAS, de Oliveira ML, Rech A. Effects of an 8-week resistance training intervention on plantar flexor muscle quality and functional capacity in older women: a randomised controlled trial. Exp Gerontol. 2020;138:11003. https://doi.org/10.1016/j.exger.2020.111003. (Epub 20200617. PubMed PMID: 32562747).
Qiao Z, Jin JW. The effects of elastic band resistance training on the physical activities, strength, body composition, and quality of life of the elderly. Int J Clin Exp Med. 2020;13(12):9516–25.
Van Roie E, Walker S, Van Driessche S, Delabastita T, Vanwanseele B, Delecluse C. An age-adapted plyometric exercise program improves dynamic strength, jump performance and functional capacity in older men either similarly or more than traditional resistance training. PLoS ONE. 2020;15(8): e0237921. https://doi.org/10.1371/journal.pone.0237921. (Epub 20200825. PubMed PMID: 32841300; PubMed Central PMCID: PMC7447006).
Baker BS, Weitzel KJ, Royse LA, Miller K, Guess TM, Ball SD, Duren DL. Efficacy of an 8-week resistance training program in older adults: a randomized controlled trial. J Aging Phys Act. 2021;29(1):121–9. https://doi.org/10.1123/japa.2020-0078. (Epub 20200812. PubMed PMID: 32788412).
Campa F, Schoenfeld BJ, Marini E, Stagi S, Mauro M, Toselli S. Effects of a 12-week suspension versus traditional resistance training program on body composition, bioimpedance vector patterns, and handgrip strength in older men: a randomized controlled trial. Nutrients 2021;13(7). https://doi.org/10.3390/nu13072267. (Epub 20210630. PubMed PMID: 34209004; PubMed Central PMCID: PMC8308438).
Lai X, Bo L, Zhu H, Chen B, Wu Z, Du H, Huo X. Effects of lower limb resistance exercise on muscle strength, physical fitness, and metabolism in pre-frail elderly patients: a randomized controlled trial. BMC Geriatr. 2021;21(1):447. https://doi.org/10.1186/s12877-021-02386-5. (Epub 20210730. PubMed PMID: 34330211; PubMed Central PMCID: PMC8323206).
Lee SY, Goh A, Tan K, Choo PL, Ong PH, Wong WP, Wee SL. Effectiveness of a community-delivered pneumatic machine resistance training programme (Gym Tonic) for older adults at neighbourhood senior centres—a randomized controlled trial. Eur Rev Aging Phys Act. 2021;18(1):21. https://doi.org/10.1186/s11556-021-00273-x. (Epub 20211007. PubMed PMID: 34620081; PubMed Central PMCID: PMC8499414).
Osuka Y, Kojima N, Sasai H, Wakaba K, Miyauchi D, Tanaka K, Kim H. Effects of exercise and/or β-hydroxy-β-methylbutyrate supplementation on muscle mass, muscle strength, and physical performance in older women with low muscle mass: a randomized, double-blind, placebo-controlled trial. Am J Clin Nutr. 2021;114(4):1371–85. https://doi.org/10.1093/ajcn/nqab176. (PubMed PMID: 34081113).
Seo MW, Jung SW, Kim SW, Lee JM, Jung HC, Song JK. Effects of 16 weeks of resistance training on muscle quality and muscle growth factors in older adult women with sarcopenia: a randomized controlled trial. Int J Environ Res Public Health. 2021;18(13). https://doi.org/10.3390/ijerph18136762. (Epub 20210623 PubMed PMID: 34201810; PubMed Central PMCID: PMC8267934).
Son WM, Park JJ. Resistance band exercise training prevents the progression of metabolic syndrome in obese postmenopausal women. J Sports Sci Med. 2021;20(2):291–9. https://doi.org/10.2082/jssm.2021.291. (Epub 20210315. PubMed PMID: 34211322; PubMed Central PMCID: PMC8219266).
Cunha PM, Werneck AO, Nunes JP, Stubbs B, Schuch FB, Kunevaliki G, Zou L, Cyrino ES. Resistance training reduces depressive and anxiety symptoms in older women: a pilot study. Aging Ment Health. 2022;26(6):1136–42. https://doi.org/10.1080/13607863.2021.1922603. (Epub 20210518. PubMed PMID: 34003711).
da Silva RP, Martinez D, Uribe Ramos JM, Martins EF, Tedesco-Silva LM, Lopez P, Cadore EL. The effects of resistance exercise on obstructive sleep apnea severity and body water content in older adults: a randomized controlled trial. Sleep Med. 2022;95:37–46. https://doi.org/10.1016/j.sleep.2022.04.014. (Epub 20220422. PubMed PMID: 35561473).
Filho MM, Venturini G, Moreira OC, Leitão L, Mira PAC, de Castro JBP, Aidar FJ, Novaes JDS, Vianna JM, Caputo Ferreira ME. Effects of different types of resistance training and detraining on functional capacity, muscle strength, and power in older women: a randomized controlled study. J Strength Cond Res. 2022;36(4):984–90. https://doi.org/10.1519/jsc.0000000000004195. (PubMed PMID: 35319001).
Ghasemabad KH, Kamalden TFT, Dev RDO, Nekooei P, Majlesi S, Alemi B, Nekouei P. The role of high-, moderate-, and low-intensity training in enhancing functional mobility and muscle strength of aged female: a randomized controlled trial. Pertanika J Soc Sci Human. 2022;30(1):57–78.
Griffen C, Duncan M, Hattersley J, Weickert MO, Dallaway A, Renshaw D. Effects of resistance exercise and whey protein supplementation on skeletal muscle strength, mass, physical function, and hormonal and inflammatory biomarkers in healthy active older men: a randomised, double-blind, placebo-controlled trial. Exp Gerontol. 2022;158:111651. https://doi.org/10.1016/j.exger.2021.111651. (Epub 20211209. PubMed PMID: 34896568).
Kim SW, Park HY, Jung WS, Lim K. Effects of twenty-four weeks of resistance exercise training on body composition, bone mineral density, functional fitness and isokinetic muscle strength in obese older women: a randomized controlled trial. Int J Environ Res Public Health. 2022;19(21). https://doi.org/10.3390/ijerph192114554(Epub 20221106. PubMed PMID: 36361434; PubMed Central PMCID: PMC9656451).
Balachandran AT, Evans WJ, Cawthon PM, Wang Y, Shankaran M, Hellerstein MK, Qiu P, Manini T. Comparing D3-creatine dilution and dual-energy x-ray absorptiometry muscle mass responses to strength training in low-functioning older adults. J Gerontol A Biol Sci Med Sci. 2023;78(9):1591–6. https://doi.org/10.1093/gerona/glad047. (PubMed PMID: 36752568; PubMed Central PMCID: PMC10848235).
Flor-Rufino C, Barrachina-Igual J, Pérez-Ros P, Pablos-Monzó A, Sanz-Requena R, Martínez-Arnau FM. Fat infiltration and muscle hydration improve after high-intensity resistance training in women with sarcopenia. A randomized clinical trial. Maturitas. 2023;168:29–36. https://doi.org/10.1016/j.maturitas.2022.09.001. (Epub 20221104. PubMed PMID: 36423489).
Juesas A, Gargallo P, Gene-Morales J, Babiloni-López C, Saez-Berlanga A, Jiménez-Martínez P, Casaña J, Benitez-Martinez JC, Ramirez-Campillo R, Chulvi-Medrano I, Colado JC. Effects of microfiltered seawater intake and variable resistance training on strength, bone health, body composition, and quality of life in older women: a 32-week randomized, double-blinded, placebo-controlled trial. Int J Environ Res Public Health 2023;20(6). https://doi.org/10.3390/ijerph20064700. (Epub 20230307. PubMed PMID: 36981609; PubMed Central PMCID: PMC10048547).
Sheoran S, Vints WAJ, Valatkevičienė K, Kušleikienė S, Gleiznienė R, Česnaitienė VJ, Himmelreich U, Levin O, Masiulis N. Strength gains after 12 weeks of resistance training correlate with neurochemical markers of brain health in older adults: a randomized control (1)H-MRS study. Geroscience. 2023;45(3):1837–55. https://doi.org/10.1007/s11357-023-00732-6. (Epub 20230126. PubMed PMID: 36701005; PubMed Central PMCID: PMC9877502).
Lopez P, Rech A, Petropoulou M, Newton RU, Taaffe DR, Galvão DA, Turella DJP, Freitas SR, Radaelli R. Does high-velocity resistance exercise elicit greater physical function benefits than traditional resistance exercise in older adults? A systematic review and network meta-analysis of 79 trials. J Gerontol A Biol Sci Med Sci. 2023;78(8):1471–82. https://doi.org/10.1093/gerona/glac230. (PubMed PMID: 36378500; PubMed Central PMCID: PMC10395570).
Nunes PRP, Oliveira AA, Martins FM, Souza AP, Orsatti FL. Effect of resistance training volume on walking speed performance in postmenopausal women: a randomized controlled trial. Exp Gerontol. 2017;97:80–8. https://doi.org/10.1016/j.exger.2017.08.011. (Epub 20170810. PubMed PMID: 28804047).
Beijersbergen CM, Granacher U, Vandervoort AA, DeVita P, Hortobágyi T. The biomechanical mechanism of how strength and power training improves walking speed in old adults remains unknown. Ageing Res Rev. 2013;12(2):618–27. https://doi.org/10.1016/j.arr.2013.03.001. (Epub 20130315. PubMed PMID: 23501431).
Bethancourt HJ, Rosenberg DE, Beatty T, Arterburn DE. Barriers to and facilitators of physical activity program use among older adults. Clin Med Res. 2014;12(1–2):10–20. https://doi.org/10.3121/cmr.2013.1171. (Epub 20140110. PubMed PMID: 24415748; PubMed Central PMCID: PMC4453303).
Koh YS, Asharani PV, Devi F, Roystonn K, Wang P, Vaingankar JA, Abdin E, Sum CF, Lee ES, Müller-Riemenschneider F, Chong SA, Subramaniam M. A cross-sectional study on the perceived barriers to physical activity and their associations with domain-specific physical activity and sedentary behaviour. BMC Public Health. 2022;22(1):1051. https://doi.org/10.1186/s12889-022-13431-2. (Epub 20220526. PubMed PMID: 35614402; PubMed Central PMCID: PMC9132675).
Harris CD, Watson KB, Carlson SA, Fulton JE, Dorn JM, Elam-Evans L. Adult participation in aerobic and muscle-strengthening physical activities—United States, 2011. MMWR Morb Mortal Wkly Rep. 2013;62(17):326–30 (PubMed PMID: 23636025; PubMed Central PMCID: PMC4604926).
Behm DG, Granacher U, Warneke K, Aragão-Santos JC, Da Silva-Grigoletto ME, Konrad A. Minimalist training: is lower dosage or intensity resistance training effective to improve physical fitness? A narrative review. Sports Med. 2023. https://doi.org/10.1007/s40279-023-01949-3. (Epub 20231104. PubMed PMID: 37924459).
Lopez P, Radaelli R, Taaffe DR, Newton RU, Galvão DA, Trajano GS, Teodoro JL, Kraemer WJ, Häkkinen K, Pinto RS. Resistance training load effects on muscle hypertrophy and strength gain: systematic review and network meta-analysis. Med Sci Sports Exerc. 2021;53(6):1206–16. https://doi.org/10.1249/mss.0000000000002585. (PubMed PMID: 33433148; PubMed Central PMCID: PMC8126497).
Currier BS, McLeod JC, Banfield L, Beyene J, Welton NJ, Dsouza AC, Keogh JAJ, Lin L, Coletta G, Yang A, Colenso-Semple L, Lau KJ, Verboom A, Phillips SM. Resistance training prescription for muscle strength and hypertrophy in healthy adults: a systematic review and Bayesian network meta-analysis. Br J Sports Med. 2023;57(18):1211–20. https://doi.org/10.1136/bjsports-2023-106807. (Epub 20230706. PubMed PMID: 37414459; PubMed Central PMCID: PMC10579494).
Breen L, Phillips SM. Skeletal muscle protein metabolism in the elderly: interventions to counteract the ‘anabolic resistance’ of ageing. Nutr Metab (Lond). 2011;8:68. https://doi.org/10.1186/1743-7075-8-68. (Epub 20111005. PubMed PMID: 21975196; PubMed Central PMCID: PMC3201893).
Burd NA, Gorissen SH, van Loon LJ. Anabolic resistance of muscle protein synthesis with aging. Exerc Sport Sci Rev. 2013;41(3):169–73. https://doi.org/10.1097/JES.0b013e318292f3d5. (PubMed PMID: 23558692).
Lopez P, Radaelli R, Taaffe DR, Galvão DA, Newton RU, Nonemacher ER, Wendt VM, Bassanesi RN, Turella DJP, Rech A. Moderators of resistance training effects in overweight and obese adults: a systematic review and meta-analysis. Med Sci Sports Exerc. 2022;54(11):1804–16. https://doi.org/10.1249/mss.0000000000002984. (Epub 20220817. PubMed PMID: 35977113).
Lopez P, Pinto RS, Radaelli R, Rech A, Grazioli R, Izquierdo M, Cadore EL. Benefits of resistance training in physically frail elderly: a systematic review. Aging Clin Exp Res. 2018;30(8):889–99. https://doi.org/10.1007/s40520-017-0863-z. (Epub 20171129. PubMed PMID: 29188577).
Chen N, He X, Feng Y, Ainsworth BE, Liu Y. Effects of resistance training in healthy older people with sarcopenia: a systematic review and meta-analysis of randomized controlled trials. Eur Rev Aging Phys Act. 2021;18(1):23. https://doi.org/10.1186/s11556-021-00277-7. (Epub 20211111. PubMed PMID: 34763651; PubMed Central PMCID: PMC8588688).
da Silva Gonçalves L, Santos Lopes da Silva L, Rodrigues Benjamim CJ, Tasinafo Junior MF, Bohn L, Ferreira Abud G, Ortiz GU, de Freitas EC. The effects of different exercise training types on body composition and physical performance in older adults with sarcopenic obesity: a systematic review and meta-analysis. J Nutr Health Aging. 2023;27(11):1076–90. https://doi.org/10.1007/s12603-023-2018-6. (PubMed PMID: 37997730).
Schoenfeld BJ, Grgic J, Ogborn D, Krieger JW. Strength and hypertrophy adaptations between low- vs. high-load resistance training: a systematic review and meta-analysis. J Strength Cond Res. 2017;31(12):3508–23. https://doi.org/10.1519/jsc.0000000000002200. (PubMed PMID: 28834797).
Baechle TR, Earle RW. Essentials of strength training and conditioning: human kinetics; 2008.
Buchner DM, Larson EB, Wagner EH, Koepsell TD, de Lateur BJ. Evidence for a non-linear relationship between leg strength and gait speed. Age Ageing. 1996;25(5):386–91. https://doi.org/10.1093/ageing/25.5.386. (PubMed PMID: 8921145).
Acknowledgements
Maria Petropoulou is funded by the German Research Foundation (DFG; grant number PE 3629/1-1). The results of the study are presented clearly, honestly and without fabrication, falsification or inappropriate data manipulation.
Author information
Authors and Affiliations
Corresponding author
Ethics declarations
Funding
No financial support was received to conduct the present study, or for the preparation or publication of this manuscript.
Conflict of Interests
Régis Radaelli, Anderson Rech, Talita Molinari, Anna Maria Markarian, Maria Petropoulou, Urs Granacher, Tibor Hortobagyi and Pedro Lopez declare that they have no conflict of interest with the content of this article.
Data Availability
Data used in the present study such as data extraction templates, forms and analysis will be made available upon reasonable request to the corresponding author.
Author Contributions
Conception and design: Régis Radaelli, Anderson Rech and Pedro Lopez; Acquisition, analysis or interpretation of data: Régis Radaelli, Anderson Rech, Talita Molinari, Anna Maria Markarian, Maria Petropoulou, Urs Granacher, Tibor Hortobagyi and Pedro Lopez; Drafting of the manuscript: Régis Radaelli, Anderson Rech, Talita Molinari, Anna Maria Markarian, Maria Petropoulou, Urs Granacher, Tibor Hortobagyi and Pedro Lopez; Critical revision of the manuscript for important intellectual content: Régis Radaelli, Anderson Rech, Talita Molinari, Anna Maria Markarian, Maria Petropoulou, Urs Granacher, Tibor Hortobagyi and Pedro Lopez. All authors have read and approved the final version of the article.
Supplementary Information
Below is the link to the electronic supplementary material.
Rights and permissions
Springer Nature or its licensor (e.g. a society or other partner) holds exclusive rights to this article under a publishing agreement with the author(s) or other rightsholder(s); author self-archiving of the accepted manuscript version of this article is solely governed by the terms of such publishing agreement and applicable law.
About this article
Cite this article
Radaelli, R., Rech, A., Molinari, T. et al. Effects of Resistance Training Volume on Physical Function, Lean Body Mass and Lower-Body Muscle Hypertrophy and Strength in Older Adults: A Systematic Review and Network Meta-analysis of 151 Randomised Trials. Sports Med 55, 167–192 (2025). https://doi.org/10.1007/s40279-024-02123-z
Accepted:
Published:
Version of record:
Issue date:
DOI: https://doi.org/10.1007/s40279-024-02123-z


