Disease burden and changing trend of tracheal, bronchus, and lung cancer attributable to tobacco, globally and in China, the USA, the Russian Federation, and India, 1990–2021
Highlight box
Key findings
• Over the past three decades, the tobacco-attributable tracheal, bronchus, and lung cancer (TBL) disease burden has declined globally and in the USA, the Russian Federation, and India, but continues rising in China, where male and elderly populations (60+ years) bear disproportionately high burdens. Tobacco, air pollution, and occupational risks were the top three risk factors attributed to TBL in the four countries. Projections suggest declining trends across all regions in the next decade, though targeted interventions for high-risk demographics remain critical.
What is known and what is new?
• Tobacco use accounts for approximately 58.89% of all TBL deaths globally in 2021, highlighting its dominant role as a risk factor.
• In summary, this manuscript enhances our understanding of the impact of tobacco use on TBL globally, highlighting both the progress made and the challenges that remain in combating tobacco-related cancer burdens.
What is the implication, and what should change now?
• The burden of disease caused by tobacco-related TBL in China increased from 1990 to 2021, and it is especially high in the over-60-year-old and male demographic categories, so China should pay more attention to these high-risk groups and intensify targeted management efforts.
Introduction
Lung cancer is the leading cause of cancer-related deaths worldwide and the second most common cancer in terms of new cases, following female breast cancer. As a major category of respiratory diseases, it poses a significant threat to human health and life. In 2020, it was estimated that there would be 2.04 million deaths and 2.26 million new cases of tracheal, bronchus, and lung cancer (TBL) globally (1). Lung cancer remains the leading cause of both incidence and mortality worldwide. The age-standardized mortality rate (ASMR) for lung cancer in China, the USA, India, and the Russian Federation exceeds the global average (four countries together account for 62% of global tobacco consumption, and contribute 58% of global tobacco-related lung cancer deaths) (2). According to previous studies (3,4), the most prevalent risk factors for TBL include tobacco, air pollution, occupational risk, dietary risk, and excessive sugar consumption. Tobacco use is thought to be the most significant risk factor for TBL among them. In 2015, tobacco use was responsible for 11.50% of deaths worldwide (64.0 million instances), with China, the USA, India, and the Russian Federation accounting for 52.20% of these cases (5). As a result, the disease burden of tobacco-related TBL is high in China, the USA, the Russian Federation, and India, and tobacco-related TBL prevention and control continue to be significant public health concerns.
This study aims to quantify the temporal trends and geographic disparities in tobacco-attributable TBL disease burden from 1990 to 2021 across these high-burden nations and to project future trajectories through 2031 using Bayesian age-period-cohort (BAPC) modeling. By identifying differential patterns in epidemiological transitions and policy impacts, we seek to inform targeted tobacco control strategies for distinct national contexts. We present this article in accordance with the TRIPOD reporting checklist (available at https://jtd.amegroups.com/article/view/10.21037/jtd-2025-685/rc).
Methods
Data sources
The Global Burden of Disease 2021 (GBD 2021) database (https://vizhub.healthdata.org/gbd-results/), the most recent database on the burden of disease available, provided the data for this study. It records epidemiological data on over 300 diseases and 80 risk factors in over 200 countries and territories (6). Data on the number of deaths and disability-adjusted life years (DALYs) linked to tobacco-related TBL, along with the associated ASMR and age-standardized DALYs rate (ASDR), were retrieved for the years 1990–2021 globally and for four countries: China, the USA, the Russian Federation, and India (this is because the four nations with the highest number of TBL-attributable deaths and DALYs globally are China, the USA, the Russian Federation, and India; based on this, we investigated differences in the disease burden for TBL caused by tobacco in the four countries; the objective is to give strategies for the prevention and treatment of tobacco-related TBL). Trends and disease burden were examined for different countries, sexes, and age groups. Chronic exposure to physical, chemical, or biological factors that may predispose one to the cancer in question is referred to as a risk factor. This paper focuses on three types of cancer: tracheal, bronchus, and lung cancer. The GBD 2021 database did not create a more thorough independent grouping of these three cancers; instead, it unified them as trachea, bronchus, and lung cancer. The three conditions are taken as a single analysis and are referred to as TBL from now on.
BAPC prediction model
Using the Nordpred package in R Studio 4.3.2, a BAPC prediction model was developed to analyze the disease burden of TBL attributable to tobacco (7). Compared to other forecasting models, BAPC has the advantage of eliminating complex time effects, providing 95% confidence intervals for forecasts, and enabling long-term forecasts (8). This model was based on data from 1990 to 2021, both globally and for the countries of China, the USA, the Russian Federation, and India. BAPC was then used to forecast and analyze the burden of disease of TBL attributable to tobacco from 2022 to 2031 globally and in the four countries.
Socio-demographic index
Each region’s per capita income, level of education, and overall fertility rate are measured by the Social Development Index (SDI); higher indices denote better sociodemographic development (9). Data management, collation, and analysis were conducted using R Studio 4.3.2.
Statistical analysis
The disease burden of TBL attributable to tobacco was measured using data on deaths, DALYs, ASMR, ASDR, and estimated annual percentage change (EAPC). An EAPC and 95% uncertainty interval (UI) of >0 indicated an upward trend of ASMR/ASDR, and vice versa showed a downward trend. The age segmentation criteria included 20–24, 25–29, 30–34, 35–39, 40–44, 45–49, 50–54, 55–59, 60–64, 65–69, 70–74, 75–79, and ≥80 years.
Ethical statement
The study was conducted in accordance with the Declaration of Helsinki and its subsequent amendments.
Results
Disease burden of TBL in four countries, 1990–2021
Tables 1,2 present the changes in the number of tobacco-attributable TBL deaths, DALYs, ASMR, and ASDR between 1990 and 2021 for China, the USA, the Russian Federation, India, and globally. In the USA, India, and the Russian Federation, both ASMR and ASDR for tobacco-related TBL showed a declining trend, whereas in China, these rates have been increasing.
Table 1
| Items | 1990 | 2021 | 1990–2021 | ||||
|---|---|---|---|---|---|---|---|
| Number of death (95% UI) | ASMR per 100,000 (95% UI) | Number of death (95% UI) | ASMR per 100,000 (95% UI) | EAPC of ASMR (95% UI) | |||
| Global | 758,765.8 (693,064.1 to 827,608.3) | 19.2 (17.6 to 21.0) | 1,238,652.2 (1,075,691.7 to 1,423,118.1) | 14.4 (12.5 to 16.5) | −1.0 (−1.0 to −0.9) | ||
| Male | 628,263.9 (580,619.0 to 680,390.0) | 35.3 (32.6 to 38.2) | 988,889.7 (852,907.0 to 1,142,312.5) | 25.0 (21.6 to 28.9) | −1.1 (−1.2 to −1.0) | ||
| Female | 130,501.9 (108,375.8 to 151,139.7) | 6.2 (5.1 to 7.2) | 249,762.5 (196,052.7 to 306,054.2) | 5.4 (4.2 to 6.6) | 0.5 (0.3 to 0.7) | ||
| China | 190,665.4 (156,498.3 to 227,186.1) | 23.8 (19.9 to 28.1) | 544,595.3 (423,464.3 to 690,765.1) | 25.8 (20.2 to 32.6) | 0.4 (0.2 to 0.6) | ||
| Male | 159,680.6 (127,328.1 to 193,970.9) | 42.8 (34.6 to 51.4) | 453,575.7 (341,017.5 to 595,983.1) | 46.5 (35.1 to 60.4) | −0.5 (−0.7 to −0.4) | ||
| Female | 30,984.9 (21,402.7 to 42,367.3) | 7.8 (5.4 to 10.7) | 91,019.6 (59560.7 to 128,346.7) | 8.2 (5.4 to 11.6) | −0.2 (−0.4 to 0.0) | ||
| USA | 113,278.8 (103,737.6 to 121,898.9) | 36.1 (33.2 to 38.8) | 105,210.4 (92,787.9 to 116,781.6) | 17.5 (15.5 to 19.3) | −2.5 (−2.7 to −2.3) | ||
| Male | 75,144.6 (69,502.8 to 80,284.4) | 55.3 (51.1 to 59.1) | 59,918.2 (53,288.1 to 65,703.1) | 21.9 (19.4 to 24.0) | −3.1 (−3.3 to −3.0) | ||
| Female | 38,134.2 (34,350.9 to 41,860.0) | 21.8 (19.8 to 23.8) | 45,292.2 (39,025.8 to 51,184.7) | 13.8 (12.1 to 15.6) | −1.7 (−1.9 to −1.4) | ||
| India | 13,919.7 (11,432.6 to 16,726.8) | 3.0 (2.5 to 3.7) | 33,546.5 (25,898.2 to 40,830.9) | 2.8 (2.2 to 3.4) | −0.3 (−0.4 to −0.2) | ||
| Male | 12,833.4 (10,493.4 to 1,5542.0) | 5.4 (4.4 to 6.6) | 29,576.9 (22,853.4 to 35,624.8) | 5.2 (4.0 to 6.3) | −0.2 (−0.3 to −0.1) | ||
| Female | 1,086.3 (738.3 to 1,499.9) | 0.5 (0.4 to 0.7) | 3,969.7 (2,641.3 to 5652.8) | 0.7 (0.4 to 0.9) | 1.0 (0.9 to 1.1) | ||
| Russian Federation | 46,579.4 (43,687.7 to 49,142.2) | 24.6 (23.1 to 26.0) | 36,219.0 (31,583.7 to 40,279.7) | 14.7 (12.9 to 16.4) | −1.8 (−2.0 to −1.7) | ||
| Male | 44,645.0 (42,315.2 to 46,652.3) | 66.0 (62.4 to 69.2) | 33,801.3 (29,343.4 to 37,605.6) | 35.7 (31.1 to 39.7) | −2.1 (−2.2 to −1.9) | ||
| Female | 1,934.4 (1,225.9 to 2,585.8) | 1.7 (1.1 to 2.2) | 2,417.7 (1,744.5 to 3,093.4) | 1.7 (1.2 to 2.2) | 0.3 (0.1 to 0.5) | ||
ASMR, age-standardized mortality rate; EAPC, estimated annual percentage change; UI, uncertainty interval.
Table 2
| Items | 1990 | 2021 | 1990–2021 | ||||
|---|---|---|---|---|---|---|---|
| Number of DALYs (95% UI) | ASDR per 100,000 (95% UI) | Number of DALYs (95% UI) | ASDR per 100,000 (95% UI) | EAPC of ASDR (95% UI) | |||
| Global | 19,948,626.9 (18,253,295.7 to 21,731,856.8) | 485.3 (443.9 to 528.7) | 28,768,021.6 (24,948,938.0 to 33,061,214.1) | 327.8 (284.2 to 376.8) | −1.3 (−1.3 to −1.2) | ||
| Male | 16,691,691.8 (15,449,836.8 to 18,123,023.2) | 864.7 (800.3 to 937.9) | 23,251,607.0 (20,027,487.4 to 26,946,174.4) | 561.6 (484.0 to 650.2) | −1.4 (−1.4 to −1.3) | ||
| Female | 3,256,935.1 (2,692,561.7 to 3,787,773.8) | 151.2 (125.0 to 175.7) | 5,516,414.7 (4,306,882.0 to 6,740,465.2) | 119.3 (93.0 to 145.9) | −0.8 (−1.0 to −0.7) | ||
| China | 5,162,608.8 (4,184,770.9 to 6,191,165.6) | 582.3 (476.8 to 696.0) | 12,572,146.6 (9,683,324.3 to 16,113,316.2) | 575.2 (444.3 to 735.5) | 0.1 (−0.1 to 0.2) | ||
| Male | 4,386,092.1 (3,468,375.5 to 5,355,394.8) | 1,011.2 (807.6 to 1,226.6) | 10,612,537.6 (7,912,736.8 to 14,029,214.8) | 1,010.2 (757.5 to 1,330.1) | 0.2 (0.02 to 0.4) | ||
| Female | 776,516.7 (515,395.2 to 1,083,075.3) | 178.4 (120.6 to 247.1) | 1,959,609.0 (1,255,981.5 to 2,824,520.8) | 174.7 (110.8 to 251.0) | −0.4 (−0.6 to −0.2) | ||
| USA | 2,807,018.8 (2,599,702.3 to 2,998,217.7) | 938.8 (870.1 to 1,001.0) | 2,306,875.3 (2,066,128.3 to 2,526,276.9) | 400.0 (359.1 to 436.5) | −2.9 (−3.1 to −2.7) | ||
| Male | 1,860,474.6 (1,729,708.8 to 1,975,831.2) | 1,380.8 (1,282.3 to 1,466.2) | 1,330,610.5 (1,196,570.8 to 1,446,174.8) | 493.5 (443.7 to 536.8) | −3.4 (−3.6 to −3.3) | ||
| Female | 946,544.3 (862,748.7 to 1,023,105.5) | 584.3 (535.2 to 627.4) | 976,264.9 (862,144.3 to 1,086,253.0) | 318.5 (282.8 to 352.2) | −2.1 (−2.4 to −1.9) | ||
| India | 403,125.0 (332,189.0 to 482,344.1) | 79.0 (65.0 to 94.8) | 887,282.6 (677,710.0 to 1,081,628.1) | 70.9 (54.3 to 86.5) | −0.4 (−0.5 to −0.3) | ||
| Male | 372,508.3 (304,678.0 to 450,685.1) | 140.5 (114.9 to 170.0) | 787,475.6 (603,653.0 to 953,392.3) | 128.8 (99.0 to 155.5) | −0.4 (−0.5 to −0.3) | ||
| Female | 30,616.7 (20,319.6 to 42,076.8) | 12.7 (8.5 to 17.6) | 99,807.1 (63,976.0 to 143,507.2) | 15.8 (10.3 to 22.7) | 0.8 (0.7 to 0.8) | ||
| Russian Federation | 1,374,534.7 (1,294,411.9 to 1,446,021.9) | 725.9 (683.2 to 764.7) | 950,293.7 (825,875.0 to 1,054,798.8) | 395.2 (343.7 to 438.1) | −2.2 (−2.3 to −2.0) | ||
| Male | 1,322,414.0 (1,255,953.9 to 1,378,655.7) | 1,812.0 (1,717.3 to 1,893.7) | 885,069.5 (769,535.3 to 984,535.2) | 904.7 (787.5 to 1,005.2) | −2.4 (−2.5 to −2.2) | ||
| Female | 52,120.7 (33,579.9 to 69,278.2) | 47.0 (30.5 to 62.5) | 65,224.2 (47,832.6 to 81,733.7) | 49.7 (36.8 to 61.9) | 0.5 (0.3 to 0.7) | ||
ASDR, age-standardized disability-adjusted life years rate; DALYs, disability-adjusted life years; EAPC, estimated annual percentage change; UI, uncertainty interval.
A total of 1,238,652.2 cases and 28,768,021.6 DALYs were reported globally in 2021 as a result of tobacco-attributable TBL. The ASMR decreased from 19.2 (95% UI: 17.6 to 21.0) to 14.4 (95% UI: 12.5 to 16.5), with an EAPC of −1.0 (95% UI: −1.0 to −0.9), and the ASDR decreased from 485.3 (95% UI: 443.9 to 528.7) to 327.8 (95% UI: 284.2 to 376.8), with an EAPC of −1.3 (95% UI: −1.3 to −1.2). In 2021, China had the highest number of tobacco-attributable TBL deaths and DALYs (544,595.3 cases and 12,572,146.6 DALYs). China is among the world leaders in ASMR and ASDR for the total population, males and females, the ASMR increased from 23.8 (95% UI: 19.9 to 28.1) to 25.8 (95% UI: 20.2 to 32.6), with an EAPC of 0.4 (95% UI: 0.2 to 0.6); in contrast, the ASDR decreased from 582.3 (95% UI: 476.8 to 696.0) to 575.2 (95% UI: 444.3 to 735.5), with an EAPC of 0.1 (95% UI: −0.1 to 0.2). In the USA, tobacco-attributable TBL deaths and DALYs (105,210.4 cases and 2,306,875.3 DALYs) in 2021, second only to China; the USA is also among the world leaders in ASMR and ASDR for the total population, males and females, while the ASMR decreased from 36.1 (95% UI: 33.2 to 38.8) to 17.5 (95% UI: 15.5 to 19.3), with an EAPC of −2.5 (95% UI: −2.7 to −2.3), and the ASDR decreased from 938.8 (95% UI: 870.1 to 1,001.0) to 400.0 (95% UI: 359.1 to 436.5), with an EAPC of −2.9 (95% UI: −3.1 to −2.7). The Russian Federation had the third-highest number of deaths and DALYs (36,219.0 cases and 950,293.7 DALYs), the ASMR and ASDR of the total Russian Federation population are in the upper-middle level, the ASMR and ASDR of males are in the top level of the world, and the ASMR and ASDR of females are in the middle level of the world, the ASMR dropped from 24.6 (95% UI: 23.1 to 26.0) to 14.7 (95% UI: 12.9 to 16.4) with an EAPC of −1.8 (95% UI: −2.0 to −1.7) and the ASDR dropped from 725.9 (95% UI: 683.2 to 764.7) to 395.2 (95% UI: 343.7 to 438.1) with an EAPC of −2.2 (95% UI: −2.3 to −2.0). India had the fourth-highest number of deaths and DALYs (33,546.5 cases and 887,282.6 DALYs) in the world. Male ASMR and ASDR for tobacco-related TBL are in the upper-middle range, while female ASMR and ASDR are at the top. The ASMR dropped from 3.0 (95% UI: 2.5 to 3.7) to 2.8 (95% UI: 2.2 to 3.4) with an EAPC of −0.3 (95% UI: −0.4 to −0.2), and the ASDR dropped from 79.0 (95% UI: 65.0 to 94.8) to 70.9 (95% UI: 54.3 to 86.5) with an EAPC of −0.4 (95% UI: −0.5 to −0.3) (Tables 1,2, Figure S1).
In both 1990 and 2021, the ASMR and ASDR for tobacco-attributable TBL were consistently higher in males than in females, both globally and in China, the USA, the Russian Federation, and India. Almost all male patients had greater absolute EAPC values than females (Indian male patients had smaller absolute EAPC values for ASMR and ASDR than female patients). Although the burden of disease for female patients is much smaller than that for male patients, the rise in the burden of disease for female patients is greater than that for male patients, except in India, where the opposite is true.
Risk factors for TBL, 1990–2021
From 1990 to 2021, tobacco, air pollution, and occupational risks were the top three risk factors attributed to TBL globally, as well as in China, the USA, and the Russian Federation. In India, tobacco, diet, and air pollution were the top three risk factors (Figure S2). Between 1990 and 2021, the ASMR for tobacco-related TBL decreased annually globally, as well as in the USA, the Russian Federation, and India, with a notably pronounced decline in the USA. Conversely, in China, the ASMR for tobacco-related TBL increased annually during the same period (Figure S3).
ASMR and ASDR of TBL attributable to tobacco in China, the USA, the Russian Federation, and India compared with the global average, 1990–2021
From 1990 to 2021, the ASMR and ASDR of the USA and the Russian Federation were higher than the global average, but the gap between ASMR and ASDR in the USA and the Russian Federation and the global average is gradually narrowing. While China’s ASMR and ASDR are also higher than the global average, and the gap between China and the global average is gradually widening, India’s ASMR and ASDR are below the global average, and the gap between India and the global average is narrowing. In summary, the disease burden of TBL attributable to tobacco in China was much higher than that in the USA, the Russian Federation, and India in 1990–2021, and the disease burden of TBL attributable to tobacco in China was still heavy compared with the global average (Figure 1).
Comparative analysis of TBL attributable to tobacco by sex and age in 2021
In 2021, the number of deaths with tobacco-attributable TBL peaked in the 70–74 years age group globally, in China and the USA, and the 60–64 years age group in the Russian Federation and India. The number of DALYs with tobacco-attributable TBL peaks in the 65–69 years age group globally, in China and the USA, and in the 60–64 years age group in the Russian Federation and India.
In 2021, males had significantly more deaths, DALYs, ASMR, and ASDR with tobacco-related TBL than females in all age groups globally, including China, the USA, the Russian Federation, and India (with the smallest proportion of male-to-female in the USA and the largest proportion of male-to-female in the Russian Federation). ASMR and ASDR increase and then decrease with age (Figures 2,3).
SDI analysis of TBL attributable to tobacco in 21 regions, 1990–2021
Between 1990 and 2021, the SDI had a significant association with ASMR and ASDR for TBL caused by tobacco in 21 countries and regions around the world (Figure 4). When SDI <0.76, ASMR and ASDR gradually increased with increasing SDI. When SDI ≥0.76, ASMR and ASDR significantly decreased. We found that ASMR and ASDR were higher than predicted in high-income North America, Central Europe, Western Europe, East Asia, and Oceania. As SDI levels increased, ASMR and ASDR decreased more pronouncedly.
Breakdown analysis of TBL attributable to tobacco, 1990–2021
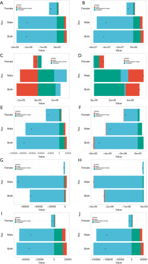
We investigated how the disease burden of tobacco-attributable TBL was affected by population growth, population aging, and epidemiological trends. Decomposition analyses revealed that population growth and shifts in epidemiological trends are the main causes of the global increase in ASMR and ASMR for tobacco-attributable TBL. Population growth and epidemiological trends were the primary causes of China’s rise in tobacco-attributable TBL ASMR, whereas population growth, population aging, and epidemiological trends were the primary causes of ASDR. In the USA, population growth and aging have been the primary contributors to the increase in ASMR for tobacco-attributable TBL. Conversely, the rise in ASDR is chiefly driven by population growth. In the Russian Federation, both population growth and aging are the main factors behind the escalation of ASMR, while epidemiological trends predominantly influence the increase in ASDR. In India, the growth in both ASMR and ASDR for tobacco-attributable TBL is mainly attributed to population growth and aging (Figure 5).
BAPC model projections of ASMR and ASDR for TBL attributable to tobacco, 2022–2031
According to the BAPC prediction model, by 2031, the ASMR and ASDR for tobacco-attributable TBL are projected to reach 12.2/100,000 and 268.2/100,000, respectively. In China, the ASMR and ASDR for tobacco-related TBL are expected to be 23.4/100,000 and 511.5/100,000, while in the USA, they are projected to be 15.8/100,000 and 343.4/100,000. For the Russian Federation, the ASMR and ASDR are forecasted to be 10.2/100,000 and 240.8/100,000, respectively. In India, they were 2.7/100,000 and 64.4/100,000. Overall downward trends in ASMR and ASDR for tobacco-related TBL globally, as well as in China, the USA, the Russian Federation, and India, 2022–2031 (Tables 3,4, Figure 6).
Table 3
| Items (ASMR) | Global | China | USA | Russian Federation | India | ||||||||||||||
|---|---|---|---|---|---|---|---|---|---|---|---|---|---|---|---|---|---|---|---|
| Both | Male | Female | Both | Male | Female | Both | Male | Female | Both | Male | Female | Both | Male | Female | |||||
| 2021 | 14.3 | 25.0 | 5.4 | 25.8 | 46.5 | 8.2 | 17.5 | 21.9 | 13.8 | 14.7 | 35.7 | 1.7 | 2.8 | 5.2 | 0.7 | ||||
| 2022 | 14.1 | 24.7 | 5.3 | 25.3 | 45.9 | 8.2 | 17.3 | 21.7 | 13.5 | 13.6 | 33.3 | 1.6 | 2.8 | 5.2 | 0.7 | ||||
| 2023 | 13.9 | 24.4 | 5.2 | 25.1 | 45.5 | 8.3 | 17.2 | 21.5 | 13.3 | 13.2 | 32.2 | 1.6 | 2.8 | 5.2 | 0.7 | ||||
| 2024 | 13.7 | 24.1 | 5.2 | 24.9 | 45.0 | 8.3 | 17.1 | 21.4 | 13.0 | 12.8 | 31.2 | 1.6 | 2.8 | 5.1 | 0.7 | ||||
| 2025 | 13.5 | 23.8 | 5.1 | 24.7 | 44.6 | 8.4 | 16.9 | 21.2 | 12.8 | 12.5 | 30.1 | 1.6 | 2.8 | 5.1 | 0.7 | ||||
| 2026 | 13.3 | 23.5 | 5.0 | 24.5 | 44.1 | 8.5 | 16.8 | 21.1 | 12.6 | 12.0 | 29.0 | 1.6 | 2.8 | 5.1 | 0.6 | ||||
| 2027 | 13.1 | 23.2 | 5.0 | 24.3 | 43.6 | 8.5 | 16.6 | 20.9 | 12.4 | 11.6 | 28.0 | 1.6 | 2.8 | 5.1 | 0.6 | ||||
| 2028 | 12.9 | 22.9 | 4.9 | 24.0 | 43.2 | 8.6 | 16.4 | 20.6 | 12.1 | 11.3 | 27.0 | 1.6 | 2.7 | 5.1 | 0.6 | ||||
| 2029 | 12.7 | 22.5 | 4.8 | 23.8 | 42.7 | 8.6 | 16.2 | 20.4 | 11.9 | 10.9 | 26.1 | 1.5 | 2.7 | 5.1 | 0.6 | ||||
| 2030 | 12.4 | 22.2 | 4.7 | 23.6 | 42.2 | 8.7 | 16.0 | 20.2 | 11.6 | 10.6 | 25.1 | 1.5 | 2.7 | 5.1 | 0.6 | ||||
| 2031 | 12.2 | 21.9 | 4.6 | 23.4 | 41.7 | 8.7 | 15.8 | 19.9 | 11.3 | 10.2 | 24.2 | 1.5 | 2.7 | 5.1 | 0.6 | ||||
| Rate of change | −0.1 | −0.1 | −0.1 | −0.1 | −0.1 | 0.1 | −0.1 | −0.1 | −0.2 | −0.3 | −0.3 | −0.1 | 0.0 | 0.0 | −0.1 | ||||
ASMR, age-standardized mortality rate; BAPC, Bayesian age-period-cohort; TBL, tracheal, bronchus, and lung cancer.
Table 4
| Items (ASDR) | Global | China | USA | Russian Federation | India | ||||||||||||||
|---|---|---|---|---|---|---|---|---|---|---|---|---|---|---|---|---|---|---|---|
| Both | Male | Female | Both | Male | Female | Both | Male | Female | Both | Male | Female | Both | Male | Female | |||||
| 2021 | 327.8 | 561.6 | 119.3 | 575.2 | 1,010.2 | 174.7 | 400.0 | 493.5 | 318.5 | 395.2 | 904.7 | 49.7 | 70.9 | 128.8 | 15.8 | ||||
| 2022 | 318.0 | 547.5 | 116.2 | 551.1 | 976.9 | 169.4 | 392.7 | 485.5 | 306.9 | 346.2 | 788.1 | 47.0 | 68.4 | 126.5 | 14.9 | ||||
| 2023 | 312.8 | 539.5 | 114.3 | 546.8 | 968.2 | 170.4 | 388.5 | 481.3 | 301.3 | 332.4 | 754.6 | 47.0 | 68.0 | 126.1 | 14.6 | ||||
| 2024 | 307.5 | 531.3 | 112.3 | 542.5 | 959.4 | 171.4 | 384.0 | 476.8 | 295.6 | 319.4 | 722.8 | 46.9 | 67.6 | 125.7 | 14.4 | ||||
| 2025 | 302.2 | 523.0 | 110.2 | 538.1 | 951.0 | 172.4 | 379.2 | 471.9 | 289.8 | 306.9 | 692.1 | 46.9 | 67.2 | 125.3 | 14.1 | ||||
| 2026 | 296.7 | 514.6 | 108.1 | 533.7 | 942.6 | 173.3 | 374.1 | 466.4 | 283.9 | 294.4 | 662.1 | 46.8 | 66.8 | 124.8 | 13.9 | ||||
| 2027 | 291.1 | 505.9 | 105.9 | 529.2 | 934.0 | 174.2 | 368.4 | 460.3 | 277.6 | 282.4 | 633.2 | 46.7 | 66.3 | 124.3 | 13.6 | ||||
| 2028 | 285.4 | 497.1 | 103.7 | 524.7 | 925.1 | 175.0 | 362.5 | 454.2 | 270.9 | 271.2 | 605.9 | 46.7 | 65.9 | 123.7 | 13.4 | ||||
| 2029 | 279.7 | 488.1 | 101.3 | 520.2 | 916.5 | 175.9 | 356.5 | 448.0 | 264.2 | 260.6 | 580.2 | 46.6 | 65.4 | 123.0 | 13.2 | ||||
| 2030 | 273.9 | 479.2 | 99.0 | 515.8 | 908.3 | 176.7 | 350.1 | 441.4 | 257.3 | 250.6 | 555.6 | 46.5 | 64.9 | 122.4 | 12.9 | ||||
| 2031 | 268.2 | 470.2 | 96.6 | 511.5 | 900.4 | 177.5 | 343.4 | 434.3 | 250.3 | 240.8 | 531.9 | 46.5 | 64.4 | 121.7 | 12.7 | ||||
| Rate of change | −0.2 | −0.2 | −0.2 | −0.1 | −0.1 | 0.0 | −0.1 | −0.1 | −0.2 | −0.4 | −0.4 | −0.1 | −0.1 | −0.1 | −0.2 | ||||
ASDR, age-standardized disability-adjusted life years rate; BAPC, Bayesian age-period-cohort; TBL, tracheal, bronchus, and lung cancer.
The predicted downward in ASMR and ASDR for tobacco-attributable TBL from 2022 to 2031 is most apparent in the Russian Federation. India has the weakest decrease, and the three nations of China, the USA, and India all exhibit declines below the global average (Tables 3,4).
Discussion
We discovered that the disease burden of TBL caused by tobacco use is rising in China between 1990 and 2021, while it is falling annually in the USA, the Russian Federation, India, and globally. The disease burden is significantly higher in men than in women in these four countries, and the four countries above account for 62% of international tobacco consumption annually. Tobacco is the biggest risk factor for TBL, and air pollution (including indoor particulate matter and indoor fuels) is likely to be a major contributor to the disease burden of TBL in less developed regions (10). Compared to the global average, China, the USA, and the Russian Federation continue to have a high disease burden of TBL attributed to tobacco.
When compared to the global burden of disease attributable to tobacco-related TBL, the burden of disease in China is on an upward trend, and the number of deaths and DALYs attributable to tobacco-related TBL in China accounts for a higher proportion of the world, which should not be underestimated based on China’s large population base (11). This is consistent with the global trend of TBL’s general change [according to one study, the number of new cases of TBL globally increased by 23.30% between 2010 and 2019, while the relative number of TBL deaths across World Health Organization (WHO) regions increased by 91.77% (12,13)]. China’s large population, historically high smoking prevalence, and aging population are some of the factors that may be contributing to the country’s current high burden of disease (14). Synergistic effects of outdoor and indoor air pollution [some research has indicated that occupational carcinogens and air pollution overlap or can worsen the burden of respiratory disease in conjunction with smoke (15)], and the early detection of TBL has significantly increased due to improved diagnostic capabilities and healthcare accessibility, which may raise the burden of disease statistics. The burden of disease for tobacco-attributable TBL in the USA has consistently decreased between 1990 and 2019, even though it is still higher than the global average. This trend is closely linked to the recent decline in tobacco use in the USA and clean air legislation (10,16). Because of the Russian Federation’s strict tobacco control laws, the disease burden of TBL caused by tobacco has been steadily declining in the country and has done so at a rate that is significantly faster than the global average (17). Even though India’s tobacco-related TBL disease burden is significantly lower than the global average, the country’s disease burden is declining at a slower rate than the other three, and some studies have projected that by 2050, India’s population may overtake China to take the top spot in the world. Thus, the disease burden of TBL caused by tobacco use in India will continue to be a significant issue that should not be disregarded in the future due to the country’s rapid population increase and severe educational deficiencies (18,19).
Studies have shown that a total of 32 out of 35 sites of cancer are more prevalent in males than in females, with a difference of more than two times in 15 sites and more than four times in five sites (20-22). Several studies have shown that the mortality rate from TBL is higher in males than in females (23-25). In line with other research, the current analysis demonstrates that the disease burden of tobacco-attributable TBL is significantly higher in males than in females globally, as well as in China, the USA, the Russian Federation, and India, between 1990 and 2021. Tobacco is a significant risk factor for respiratory malignancies. Due to a lack of efficient tobacco control measures, tobacco use is still common in underdeveloped nations, increasing the morbidity and mortality rate from TBL (26). Secondly, smoking and passive smoking rates are also higher in males than in females, in addition to the fact that females are more health-conscious and have a greater awareness of correcting bad habits than males, as well as hormonal differences and genetic predisposition between males and females, which may contribute to the high mortality rate in males with TBL (27,28). Approximately half of the males in the Russian Federation smoke, and there is a significant male-female difference in the disease burden of TBL attributable to tobacco in the Russian Federation. However, the gap between males and females is closing over time (the AAPC values for ASMR and ASDR for tobacco-attributable TBL are ≥0 and increasing for females in the Russian Federation and India, and <0 and decreasing for males). This could be because tobacco control measures in the Russian Federation and India have neglected the female population (17).
The elderly population aged ≥60 years in four countries—China, the USA, the Russian Federation, and India—had the highest rates of tobacco-related TBL deaths and DALYs in 2021. This could be caused by a number of factors, including cumulative risks, declines in the body’s physiological processes, weakened immune systems, and prolonged exposure to various risk factors (29). This suggests that for those with tobacco-related TBL, age may be a risk factor in and of itself. These nations must enhance three key initiatives targeting the elderly population to alleviate the burden: standardized treatment, early detection, and health education (30).
Additionally, we discovered through correlation analysis that when SDI levels rose, the tobacco-attributable burden of disease for TBL decreased. Stronger tobacco control legislation more access to healthcare resources, and more rational health initiatives may all have contributed to this (31). According to studies, one of the primary causes of the rising disease burden of tobacco-related TBL in China, the USA, the Russian Federation, and India is the growing population. From 6.86 billion in 2010 to 7.60 billion in 2020, the world’s population is expected to grow to 9.73 billion by 2064 (32). By 2100, India, Nigeria, China, the USA, and Pakistan are predicted to be the five most populated nations, with China, the USA, the Russian Federation, and India probably experiencing a heavier burden of disease (19).
This study also has some limitations. Firstly, due to the limited type of data, it is not possible to discuss in detail the different morbidity and mortality situations among regions and countries around the world; secondly, GBD 2021 is based on a variety of mathematical models, which may be somewhat different from the reality of some special situations; GBD 2021 has a certain lag in data collection due to its large sample size, wide range of disease sources, and comprehensive coverage of the disease spectrum. The projected data for 2022–2025 may have some deviation from the actual situation.
The burden of disease for TBL attributable to tobacco has increased over the past 30 years (33). We projected the burden of disease for tobacco-attributable TBL globally and in China, the USA, the Russian Federation, and India from 2022 to 2031 using the BAPC model. We discovered that over the following 10 years, the ASMR and ASDR for tobacco-attributable TBL were declining globally and in the other four countries. This suggests that significant progress has been made in the prevention and treatment of tobacco-related TBL globally, as well as in China, the USA, the Russian Federation, and India; however, given the large population base and the population’s aging, the burden of tobacco-related TBL globally and in the four countries mentioned above should not be overlooked. More targeted and enhanced tobacco control and prevention initiatives are required to reduce the underlying harmful health consequences of tobacco use (30).
Conclusions
In summary, from 1990 to 2021, the burden of disease for TBL attributed to tobacco use decreased globally and in the USA, the Russian Federation, and India, while increasing in China. The disease burden of tobacco-related TBL in China, the USA, the Russian Federation, and India is a global problem that cannot be ignored because of their vast populations. Globally and in the four countries of China, the USA, the Russian Federation, and India, there is a clear gender difference in TBL attributable to tobacco, with male patients having a much higher burden of disease than female patients. Growing populations are important reasons for the high mortality rate of tobacco-related TBL patients. Over the next 10 years, there will be a noticeable decrease in the burden of TBL attributed to tobacco use globally as well as in the four nations of China, the USA, the Russian Federation, and India. To further reduce the burden of tobacco-attributable TBL globally as well as in the four nations, prevention and treatment strategies should be improved in a more targeted way. This includes strengthening cancer prevention campaigns for middle-aged and older male populations and continuing to support health education initiatives like quitting smoking.
Acknowledgments
None.
Footnote
Reporting Checklist: The authors have completed the TRIPOD reporting checklist. Available at https://jtd.amegroups.com/article/view/10.21037/jtd-2025-685/rc
Peer Review File: Available at https://jtd.amegroups.com/article/view/10.21037/jtd-2025-685/prf
Funding: This work was supported by
Conflicts of Interest: All authors have completed the ICMJE uniform disclosure form (available at https://jtd.amegroups.com/article/view/10.21037/jtd-2025-685/coif). The authors have no conflicts of interest to declare.
Ethical Statement: The authors are accountable for all aspects of the work in ensuring that questions related to the accuracy or integrity of any part of the work are appropriately investigated and resolved. The study was conducted in accordance with the Declaration of Helsinki and its subsequent amendments.
Open Access Statement: This is an Open Access article distributed in accordance with the Creative Commons Attribution-NonCommercial-NoDerivs 4.0 International License (CC BY-NC-ND 4.0), which permits the non-commercial replication and distribution of the article with the strict proviso that no changes or edits are made and the original work is properly cited (including links to both the formal publication through the relevant DOI and the license). See: https://creativecommons.org/licenses/by-nc-nd/4.0/.
References
- Sung H, Ferlay J, Siegel RL, et al. Global Cancer Statistics 2020: GLOBOCAN Estimates of Incidence and Mortality Worldwide for 36 Cancers in 185 Countries. CA Cancer J Clin 2021;71:209-49. [Crossref] [PubMed]
- Liu X, Yu Y, Wang M, et al. The mortality of lung cancer attributable to smoking among adults in China and the United States during 1990-2017. Cancer Commun (Lond) 2020;40:611-9. [Crossref] [PubMed]
- Fan Y, Jiang Y, Gong L, et al. Epidemiological and demographic drivers of lung cancer mortality from 1990 to 2019: results from the global burden of disease study 2019. Front Public Health 2023;11:1054200. [Crossref] [PubMed]
- Pallis AG, Syrigos KN. Lung cancer in never smokers: disease characteristics and risk factors. Crit Rev Oncol Hematol 2013;88:494-503. [Crossref] [PubMed]
- Smoking prevalence and attributable disease burden in 195 countries and territories, 1990-2015: a systematic analysis from the Global Burden of Disease Study 2015. Lancet 2017;389:1885-906. [Crossref] [PubMed]
- Global burden of 369 diseases and injuries in 204 countries and territories, 1990-2019: a systematic analysis for the Global Burden of Disease Study 2019. Lancet 2020;396:1204-22. [Crossref] [PubMed]
- Wang Y, Wang M, Liu C, et al. Global burden of liver cirrhosis 1990-2019 and 20 years forecast: results from the global burden of disease study 2019. Ann Med 2024;56:2328521. [Crossref] [PubMed]
- Bai Z, Han J, An J, et al. The global, regional, and national patterns of change in the burden of congenital birth defects, 1990-2021: an analysis of the global burden of disease study 2021 and forecast to 2040. EClinicalMedicine 2024;77:102873. [Crossref] [PubMed]
- Liang Y, Zhang N, Wang M, et al. Distributions and Trends of the Global Burden of Colorectal Cancer Attributable to Dietary Risk Factors over the Past 30 Years. Nutrients 2023;16:132. [Crossref] [PubMed]
- Yang D, Liu Y, Bai C, et al. Epidemiology of lung cancer and lung cancer screening programs in China and the United States. Cancer Lett 2020;468:82-7. [Crossref] [PubMed]
- Zhang R, He Y, Wei B, et al. Nasopharyngeal Carcinoma Burden and Its Attributable Risk Factors in China: Estimates and Forecasts from 1990 to 2050. Int J Environ Res Public Health 2023;20:2926. [Crossref] [PubMed]
- Global, regional, and national burden of respiratory tract cancers and associated risk factors from 1990 to 2019: a systematic analysis for the Global Burden of Disease Study 2019. Lancet Respir Med 2021;9:1030-49. [Crossref] [PubMed]
- Song Y, Cheng W, Li H, et al. The global, regional, national burden of nasopharyngeal cancer and its attributable risk factors (1990-2019) and predictions to 2035. Cancer Med 2022;11:4310-20. [Crossref] [PubMed]
- Yang X, Chen H, Sang S, et al. Burden of All Cancers Along With Attributable Risk Factors in China From 1990 to 2019: Comparison With Japan, European Union, and USA. Front Public Health 2022;10:862165. [Crossref] [PubMed]
- Semple S, Apsley A, Azmina Ibrahim T, et al. Fine particulate matter concentrations in smoking households: just how much secondhand smoke do you breathe in if you live with a smoker who smokes indoors? Tob Control 2015;24:e205-11. [Crossref] [PubMed]
- Ma J, Jemal A, Fedewa SA, et al. The American Cancer Society 2035 challenge goal on cancer mortality reduction. CA Cancer J Clin 2019;69:351-62. [Crossref] [PubMed]
- Rumgay H, Cabasag CJ, Offman J, et al. International burden of cancer deaths and years of life lost from cancer attributable to four major risk factors: a population-based study in Brazil, Russia, India, China, South Africa, the United Kingdom, and United States. EClinicalMedicine 2023;66:102289. [Crossref] [PubMed]
- Thakur JS, Paika R. Determinants of smokeless tobacco use in India. Indian J Med Res 2018;148:41-5. [Crossref] [PubMed]
- Vollset SE, Goren E, Yuan CW, et al. Fertility, mortality, migration, and population scenarios for 195 countries and territories from 2017 to 2100: a forecasting analysis for the Global Burden of Disease Study. Lancet 2020;396:1285-306. [Crossref] [PubMed]
- Bray F, Laversanne M, Sung H, et al. Global cancer statistics 2022: GLOBOCAN estimates of incidence and mortality worldwide for 36 cancers in 185 countries. CA Cancer J Clin 2024;74:229-63. [Crossref] [PubMed]
- Frick C, Rumgay H, Vignat J, et al. Quantitative estimates of preventable and treatable deaths from 36 cancers worldwide: a population-based study. Lancet Glob Health 2023;11:e1700-12. [Crossref] [PubMed]
- Catelan D, Biggeri A, Bucchi L, et al. Epidemiologic transition of lung cancer mortality in Italy by sex, province of residence and birth cohort (1920-1929 to 1960-1969). Int J Cancer 2023;153:1746-57. [Crossref] [PubMed]
- Hansen MS, Licaj I, Braaten T, et al. Smoking related lung cancer mortality by education and sex in Norway. BMC Cancer 2019;19:1132. [Crossref] [PubMed]
- Zhou J, Xu Y, Liu J, et al. Global burden of lung cancer in 2022 and projections to 2050: Incidence and mortality estimates from GLOBOCAN. Cancer Epidemiol 2024;93:102693. [Crossref] [PubMed]
- Yang X, Zhang T, Zhang X, et al. Global burden of lung cancer attributable to ambient fine particulate matter pollution in 204 countries and territories, 1990-2019. Environ Res 2022;204:112023. [Crossref] [PubMed]
- Guo L, Zhu C, Cai L, et al. Global burden of lung cancer in 2022 and projected burden in 2050. Chin Med J (Engl) 2024;137:2577-82. [Crossref] [PubMed]
- DesJardin JT, Chikwe J, Hahn RT, et al. Sex Differences and Similarities in Valvular Heart Disease. Circ Res 2022;130:455-73. [Crossref] [PubMed]
- Jin EH, Han K, Shin CM, et al. Sex and Tumor-Site Differences in the Association of Alcohol Intake With the Risk of Early-Onset Colorectal Cancer. J Clin Oncol 2023;41:3816-25. [Crossref] [PubMed]
- Li S, Chen H, Man J, et al. Changing trends in the disease burden of esophageal cancer in China from 1990 to 2017 and its predicted level in 25 years. Cancer Med 2021;10:1889-99. [Crossref] [PubMed]
- Yu G, Gong X, Xu Y, et al. The global burden and trends of four major types of heart disease, 1990-2019: a systematic analysis for the Global Burden of Disease Study 2019. Public Health 2023;220:1-9. [Crossref] [PubMed]
- Deng Y, Zhao P, Zhou L, et al. Epidemiological trends of tracheal, bronchus, and lung cancer at the global, regional, and national levels: a population-based study. J Hematol Oncol 2020;13:98. [Crossref] [PubMed]
- Global fertility in 204 countries and territories, 1950-2021, with forecasts to 2100: a comprehensive demographic analysis for the Global Burden of Disease Study 2021. Lancet 2024;403:2057-99. [Crossref] [PubMed]
- Turner MC, Andersen ZJ, Baccarelli A, et al. Outdoor air pollution and cancer: An overview of the current evidence and public health recommendations. CA Cancer J Clin 2020; Epub ahead of print. [Crossref]

