Abstract
Unquestionably, the popularity of the coffee beverage relies on its alerting attribute caffeine. However, susceptibilities to this purine alkaloid, quite frequently associated with health concerns, encouraged a significant market for decaffeinated coffee. The beans of Coffea arabica render the best beverage and a decaffeinated coffee has to preserve the desired organoleptic characteristics of this species. Consequently, besides technical removal of caffeine, the endeavors to attain a decaffeinated Arabica coffee range from traditional studies on genetic variability to advanced techniques to produce genetic modified coffee. The aim of this review is to recover part of this subject focusing mainly on the natural genetic variation for caffeine content in Arabica. We also present historical information about caffeine discovery and briefly discuss molecular approaches to reduce caffeine. We introduce here the term decaffito for coffee derived from Arabica plants with beans naturally low in or almost devoid of caffeine. In the near future, coffee drinkers avoiding caffeine will have the choice between basically three Arabica coffees, namely decaffeinated by (a) selection and breeding, (b) genetic modification and (c) industrial extraction. Although only the last decaf coffee is available for the consumers, we believe that the size of the market of each type will occupy in the future depend on the price and health aspects related to the way the decaffeinated coffee beans are obtained.

Similar content being viewed by others
References
Akaffou DS, Ky CL, Barre P et al (2003) Identification and mapping of a major gene (Ft1) involved in fructification time in the interspecific cross Coffea pseudozanguebariae C. liberica var. Dewevrei: impact on caffeine content and seed weight. Theor Appl Gen 106:1486–1490
Almeida JAS, Silvarolla MB, Fazuoli LC et al (2008) Embriogênese somática em genótipos de Coffea arabica L. Coffee Sci 3:143–151
Alvarez JH, Cortina HA, Villegas JF (2002) Metodo para evaluar antixenosis at Hypothnemus hampei en cafe, bajo condiciones controladas. Cenicafé 53:49–59
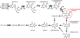
Anderson L, Gibbs M (1962) The biosynthesis of caffeine in the coffee plant. J Biol Chem 237:1941–1944
Anft B (1937) Friedlieb Ferdinand Runge—sein Leben und sein Werk. Friedrich-Wilhelms-Universität
Angelucci E (1982) Análise química do café. Instituto de Tecnologia de Alimentos, Campinas
Anthony F, Clifford MN, Noirot M (1993) Biochemical diversity in the genus Coffea L.: chlorogenic acids, caffeine and mozambioside contents. Gen Res Crop Evol 40:61–70
Anthony F, Bertrand B, Quiros O et al (2001) Genetic diversity of wild coffee (Coffea arabica L.) using molecular markers. Euphytica 118:53–65
Anzueto F, Bertrand B, Sarah JL et al (2001) Resistance to Meloidogyne incognita in Ethiopian Coffea arabica accessions. Euphytica 118:1–8
Aranda JV, Louridas AT, Vitullo BB et al (1979) Metabolism of theophylline to caffeine in human fetal liver. Science 206:1319–1321
Ashihara H, Crozier A (1999) Biosynthesis and catabolism of caffeine in low-caffeine-containing species of Coffea. J Agric Food Chem 47:3425–3431
Ashihara H, Crozier A (1999) Biosynthesis and metabolism of caffeine and related purine alkaloids in plants. Adv Bot Res 30:117–205
Ashihara H, Crozier A (2001) Caffeine: a well known but little mentioned compound in plant science. Trends Plant Sci 6:407–413
Ashihara H, Suzuki T (2004) Distribution and biosynthesis of caffeine in plants. Frontiers Biosci 9:1864–1876
Ashihara H, Sano H, Crozier A (2008) Caffeine and related purine alkaloids: biosynthesis, catabolism, function and genetic engineering. Phytochemistry 69:841–856
Azevedo ABA, Mazzafera P, Mohamed RS et al (2008) Extraction of caffeine, chlorogenic acids and lipids from green coffee beans using supercritical carbon dioxide and co-solvents. Braz J Chem Eng 25:543–552
Barre P, Akaffou S, Louarn J et al (1998) Inheritance of caffeine and heteroside contents in an interspecific cross between a cultivated coffee species Coffea liberica var dewevrei and a wild species caffeine-free C. pseudozanguebariae. Theor App Gen 96:306–311
Baumann TW (1987) How microorganisms may help to select coffee beans with desired traits. XII International Conference on Coffee Science, Montreux
Baumann TW (2006) Some thoughts on the physiology of caffeine in coffee—and a glimpse of metabolic profiling. Braz J Plant Physiol 18:243–251
Baumann TW, Dupont-Looser E, Wanner H (1978) 7-Methylxanthosine—an intermediate in caffeine biosynthesis. Phytochemistry 17:2075–2076
Baumann TW, Koetz R, Morath P (1983) N-Methyltransferase activities in suspension cultures of Coffea arabica L. Plant Cell Rep 2:33–35
Bayer C, Fay MF, De Bruijn AE et al (1999) Support for an expanded family concept of Malvaceae within a recircumscribed order Malvales: a combined analysis of plastid atpB and rbcL DNA sequences. Bot J Linnean Soc 129:267–303
Begum B, Hasan CM, Rashid MA (2003) Caffeine from the mature leaves of Coffea bengalensis. Biochem System Ecol 31:1219–1230
Bettencourt AJ, Rodrigues CJ Jr (1988) Principles and practice of coffee breeding for resistance to rust and other diseases. In: Clarke RJ, McRae R (eds) Coffee: agronomy. Elsevier Applied Science, London
Bory C, Baltassat P, Porthault M et al (1979) Metabolism of theophylline to caffeine in premature newborn-infants. J Pediatr 94:988–993
Bravi F, Bosetti C, Tavani A et al (2007) Coffee drinking and hepatocellular carcinoma risk: a meta analysis. Hepatology 46:430–435
Buchanan JM, Hartman SC (1959) Enzymatic reactions in the synthesis of purines. Adv Enzymol 21:199–261
Bussemas HH, Harsch G, Ettre LS (1994) Friedlieb Ferdinand Runge (1794–1867):“self-grown pictures” as precursors of paper chromatography. Chromatografia 38:243–254
Cadden ISH, Partovi N, Yoshida EM (2007) Review article: possible beneficial effects of coffee on liver disease and function. Alim Pharmacol Ther 26:1–7
Campa C, Doulbeau S, Dussert S et al (2005) Diversity in bean caffeine content among wild Coffea species: evidence of a discontinuous distribution. Food Chem 91:633–637
Carvalho A (1993) Histórico do desenvolvimento do cultivo do café no Brasil. Documentos IAC 34:1–7
Carvalho A, Fazuoli LC (1993) Café. In: Furlani AMC, Viégas GP (eds) O Melhoramento de Plantas no Instituto Agronômico, vol 1. Instituto Agronômico, Secretaria da Agricultura de São Paulo, Campinas
Carvalho A, Monaco LC (1967) Genetic relationships of selected Coffea species. Ciên Cult 19:151–165
Carvalho A, Tango JS, Monaco LC (1965) Genetic control of the caffeine content of coffee. Nature 205:314
Carvalho A, Fazuoli LC, Levy FA et al (1983a). Observações sobre característica dos frutos de introduções da Etiópia. X Congresso Brasileiro de Pesquisas Cafeeiras, Poços de Caldas (MG), resumos, pp 90–92
Carvalho A, Sondähl MR, Sloman C (1983) Teor de cafeína em seleções de café. X Congresso Brasileiro de Pesquisas Cafeeiras, Poços de Caldas
Carvalho A, Fazuoli LC, Mazzafera P (1988) Melhoramento do cafeeiro. XIII. Produtividade de populações derivadas da hibridação dos cultivares Laurina e Mundo Novo de C. arabica. Bragantia 47:213–222
Carvalho A, Medina HP, Filho FLC et al (1991) Aspectos genéticos do cafeeiro. Rev bras Genet 14:135–183
Castillo-Zapata J, Parra-Hernández J (1973) Exploración en el contenido de cafeína, grasas y sólidos solubles en 113 “introduciones” de cafe. Cenicafé 24:3–22
Castle TJ (2002) Decaf dialogue. Tea Coffee Trade J online 176: http://www.teaandcoffee.net/0302/coffee.htm
Chang J, Gotcher S, Gushaw JB (1982) Homogeneous enzyme immunoassay for theophylline in serum and plasma. Clin Chem 28:361–367
Charrier A (1978) La structure génétique des caféiers spontanés de la région Malgache (Mascarocoffea). Leurs relations avec les caféiers d’origine africaine (Eucoffea). ORSTOM, Paris
Charrier A, Berthaud J (1975) Variation de la teneur en caféine dans le genre Coffea. Café Cacao Thé 19:251–264
Charrier A, Berthaud J (1985) Botanical classification of coffee. In: Clifford MN, Wilson KC (eds) Coffee: botany, biochemistry and production of beans end beverage. Avi, Westport
Chen HW, Zenobi R (2007) Direct analysis of living objects by extractive electrospray mass ionization spectrometry. Chimia 61:843–843
Chen HW, Sun YP, Wortmann A et al (2007) Differentiation of maturity and quality of fruit using noninvasive extractive electrospray ionization quadrupole time-of-flight mass spectrometry. Anal Chem 79:1447–1455
Chevalier A (1947) Les caféiers du globe, fasc. 3: systématique des caféiers et faux-caféiers, maladies et insectes nuisibles. Paris
Clifford MN, Williams T, Bridson D (1989) Chlorogenic acids and caffeine as possible taxonomic criteria in Coffea and Psilanthus. Phytochemistry 28:829–838
Clifford MN, Gibson CL, Rakotomalala J-J et al (1991) Caffeine from green beans of Mascarocoffea. Phytochemistry 30:4039–4040
Crepet WL, Nixon KC, Gandolfo MA (2004) Fossil evidence and phylogeny: the age of major angiosperm clades based from mesofossil and macrofossil evidence from Creataceous deposits. Am J Bot 91:1666–1682
Daly JW (2007) Caffeine analogs: biomedical impact. Cell Mol Life Sci 64:2153–2169
Davis AP, Govaerts R, Bridson DM et al (2006) AnAn annotated taxonomic conspectus of the genus Coffea (Rubiaceae). Bot J Linn Soc 152:465–512
de Araujo EF, de Queiroz LP, Machado MA (2003) What is citrus? Taxonomic implications from a study of cp-DNA evolution in the tribe Citreae (Rutaceae subfamily Aurantioideae). Organ Diver Evol 3:55–62
Dórea JG, Costa THM (2005) Is coffee a functional food? Br J Nutr 93:773–782
Duarte C (1930) Sur leurs teneurs en eau et en caféine des cafés de iles de S. Tomé et du Prince. Anais Inst Sup Agron Portugal 4:20–27
Ducruix A, Pascard-Billy C, Hammoniere M et al (1975) X-ray structure of mascaroside, a new bitter glycoside from coffee beans. J Chem Soc, Chem Commun 396
Fischer E (1897) Ueber die Constitution des Caffeïns, Xanthins, Hypoxanthins und verwandter Basen. Ber d deutsch chem Gesellschaft 30:549–559
Fischer E, Ach L (1895) Synthese des Caffeïns. Ber d deutsch chem Gesellschaft 28:3135–3143
Fredholm BB (2004) Caffeine as an adenosine receptor antagonist. Eur Neuropsychopharmacol 14:S156–S157
Fredholm BB, Bättig K, Holmén J et al (1999) Actions of caffeine in the brain with special reference to factors that contribute to its widespread use. Pharmacol Rev 51:83–133
Frischknecht PM, Baumann TW (1980) The pattern of purine alkaloid formation in suspension cultures of Coffea arabica. Planta Medica 40:245–249
Geraets L, Moonen HJJ, Wouters EFM et al (2006) Caffeine metabolites are inhibitors of the nuclear enzyme poly(ADP-ribose)polymerase-1 at physiological concentrations. Biochem Pharmacol 72:902–910
Geromel C, Ferreira LP, Cavalari AA et al (2006) Biochemical and genomic analysis of sucrose metabolism during coffee (Coffea arabica) fruit development. J Exp Bot 57:3243–3258
Guerreiro Filho O, Mazzafera P (2003) Caffeine and resistance of coffee to the berry borer Hypothenemus hampei (Coleoptera: Scolytidae). J Agric Food Chem 51:6987–6991
Gushaw JB, Hu MW, Miller JG et al (1977) Homogeneous enzyme immunoassay for theophylline in serum. Clin Chem 23:1144 (Abstract)
Hammer K, Arrowsmith N, Gladis T (2003) Agrobiodiversity with emphasis on plant genetic resources. Naturrwissenschaften 90:241–250
Harmsen MM, De Haard HJ (2007) Properties, production, and applications of camelid single-domain antibody fragments. Appl Microbiol Biotechnol 77:13–22
Heilmann W (2001) Decaffeination of coffee. In: Clarke RJ, Vitzthum OG (eds) Coffee recent developments. Blackwell Sciences, Oxford, UK
Hein L, Gatzweiler F (2006) The economic value of coffee (Coffea arabica) genetic resources. Ecol Econ 60:176–185
Helgeson C, Hu MW, K C et al (1983) A homogeneous enzyme-immunoassay for caffeine in serum. Clin Chem 29:1275 (Abstract)
Higdon JV, Frei B (2006) Coffee and health: a review of recent human research. Crit Rev Food Sci Nutr 46:101–123
Holscher W (2005) Rohkaffeebehandlung im Verbraucherland. In: Rothfos JB, Lange H (eds) Kaffee—Die Zukunft. Behr’s Verlag, Hamburg
Inoue T, Adachi F (1962) Studies on biogenesis of tea components. III. The origin of the methylgroups in caffeine. Chem Pharm Bull 10:1212–1214
Jones HC (2003) Brazil decaf market survey unveiled. Tea Coffee Trade J online 177: http://www.teaandcoffee.net/0903/world.htm
Kato M, Mizuno K (2004) Caffeine synthase and related methyltransferases in plants. Frontiers Biosci 9:1833–1842
Kato M, Mizuno K, Fujimura T et al (1999) Purification and characterization of caffeine synthase from tea leaves. Plant Physiol 120:579–586
Kato M, Mizuno K, Crozier A et al (2000) Caffeine synthase gene from tea leaves. Nature 406:956–957
Katz SN (1985) Decaffeination of coffee. In: Clarke RJ, Macrae R (eds) Coffee, vol 2. Technology, Elsevier Applied Science, London
Kremers RE (1954) Speculation on DPN as a biochemical precursor of caffeine and trigonelline in coffee. J Am Pharm Assoc 43:423–424
Krug CA, Mendes JET, Carvalho A (1938) Taxonomia de Coffea arabica L.: descrição de variedades e formas encontradas no Estado de São Paulo. Bol Inst Agronom Campinas 62:1–57
Kushalappa AC, Eskes AB (1989) Advances in coffee rust research. Annu Rev Phytopathol 27:503–531
Ky CL, Louarn J, Dussert S et al (2001) Caffeine, trigonelline, chlorogenic acid and sucrose diversity in wild Coffea arabica L. and C. canephora P. accessions. Food Chem 75:223–230
Ladenson RC, Crimmins DL, Landt Y et al (2006) Isolation and characterization of a thermally stable recombinant anti-caffeine heavy-chain antibody fragment. Anal Chem 78:4501–4508
Larsson SC, Wolk A (2007) Coffee consumption and risk of liver cancer: a meta-analysis. Gastroenterology 132:1740–1745
Lashermes P, Combes M-C, Robert J et al (1999) Molecular characterisation and origin of the Coffea arabica L. genome. Mol Gen Genet 261:259–266
Le Pierres D (1987) Influence des facteurs génétiques sur le contrôle de la teneur en caféine du café. XII Colloquiun Scientifique International sur la Chimie du Café, Montreux
Leroy T, Montagnon C, Charrier A et al (1993) Reciprocal recorrent selection applied to Coffea canephora Pierre. I: characterization and evaluation of breeding populations and value of intergroup hybrids. Euphytica 67:113–125
Lin C, Mueller LA, McCarthy J et al (2005) Coffee and tomato share common gene repertoires as revealed by deep sequencing of seed and cherry transcripts. Theor Appl Genet 112:114–130
Looser E, Baumann TW, Wanner H (1974) The biosynthesis of caffeine on the coffee plant. Phytochemistry 13:2515–2518
Love B, Spaner D (2007) Agrobiodiversity: its value, measurement and conservation in the context of sustainable agriculture. J Sustain Agric 31:53–82
Mahé L, Combes M-C, Lashermes P (2007) Comparison between a coffee single copy chromosomal region and Arabidopsis duplicated counterparts evidenced high level synteny between the coffee genome and the ancestral Arabidopsis genome. Plant Mol Biol 64:699–711
Mascitelli L, Pezzetta F, Sullivan JL (2008) Putative hepatoprotective effects of coffee. Aliment Pharmacol Ther 27:90–92
Maurin O, Davis AP, Chester M et al (2007) Towards a phylogeny for Coffea (Rubiaceae): identifying well-supported lineages based on nuclear and plastid DNA sequences. Ann Bot 100:1565–1583
Mazzafera P (2004) Catabolism of caffeine in plants and microorganisms. Frontiers Biosci 9:1348–1359
Mazzafera P, Carvalho A (1991) A cafeína do café. Documentos IAC 25:1–22
Mazzafera P, Carvalho A (1992) Breeding for low seed caffeine content of coffee (Coffea L.) by interspecific hybridization. Euphytica 59:55–60
Mazzafera P, Braghini MT, Eskes AB (1985) Indications on the ocurrence of male sterility in Coffea canephora and C. arabica. XI International Conference on Coffee Science, Lomé, Togo
Mazzafera P, Carvalho A, Fazuoli LC et al (1992) Variabilidade do teor de cafeína em sementes de café. Turrialba 42:231–237
Mazzafera P, Crozier A, Sandberg G (1994) Studies on the metabolic control of caffeine turnover in developing endosperms and leaves of Coffea arabica and Coffea dewevrei. J Agric Food Chem 42:1423
Mazzafera P, Wingsle G, Olsson O et al (1994) S-adenosyl-L-methionine:theobromine 1-N-methyltransferase, an enzyme catalyzing the synthesis of caffeine in coffee. Phytochemistry 37:1577–1584
McCarthy AA, McCarthy JG (2007) The structure of two N-methyltransferases from the caffeine biosynthetic pathway. Plant Physiol 144:879–889
McCarthy AA, Biget L, Lin C et al (2007) Cloning, expression, crystallization and preliminary X-ray analysis of the XMT and DXMT N-methyltransferases from Coffea canephora (robusta). Acta Cryst F63:304–307
Medicus L (1875) Zur Constitution der Harnsäuregruppe. Annalen der Pharmacie 175:230–251
Medina Filho HP, Carvalho A, Söndahl MR et al (1984) Coffee breeding and related evolutionary aspects. In: Janick J (ed) Plant breeding reviews, vol 2. Avi, Westport
Montagnon C, Guyot B, Cilas C et al (1998) Genetic parameters of several biochemical compounds from green coffee, Coffea canephora. Plant Breed 117:576–578
Mösli Waldhauser SS, Baumann TW (1996) Compartmentation of caffeine and related purine alkaloids depends exclusively on the physical chemistry of their vacuolar complex formation with chlorogenic acids. Phytochemistry 42:985–996
Mueller LA, Solow TH, Taylor N et al (2005) The SOL genomics network: a comparative resource for Solanaceae biology and beyond. Plant Physiol 138:1310–1317
Nagai C, Rakotomalala JJ, Katahira R et al (2008) Production of a new low-caffeine hybrid coffee and the biochemical mechanism of low caffeine accumulation. Euphytica 164:133–142
Natarajan G, Botica M-L, Thomas R et al (2007) Therapeutic drug monitoring for caffeine in preterm neonates: an unnecessary exercise? Pediatrics 119:936–940
National_Coffee_Association (2006) U.S. coffee consumption (http://www.ncausa.org)
Negishi O, Ozawa T, Imagawa H (1985) Conversion of xanthosine into caffeine in tea plants. Agric Biol Chem 49:251–253
Negishi O, Ozawa T, Imagawa H (1985) Methylation of xanthosine by tea-leaf extracts and caffeine biosynthesis. Agric Biol Chem 49:887–890
Negishi O, Ozawa T, Imagawa H (1988) N-methyl nucleosidase from tea leaves. Agric Biol Chem 52:169–175
Negishi O, Ozawa T, Imagawa H (1994) Guanosine deaminase and guanine deaminase from tea leaves. Biosci Biotech Biochem 58:1277–1281
Ogawa M, Herai Y, Koizumi N et al (2001) 7-Methylxanthine methyltransferase of coffee plants. J Biol Chem 276:8213–8218
Ogita S, Uefuji H, Yamaguchi Y et al (2003) Producing decaffeinated coffee plants. Nature 423:823–823
Ogita S, Uefuji H, Morimoto M et al (2004) Application of RNAi to confirm theobromine as the major intermediate for caffeine biosynthesis in coffee plants with potential for construction of decaffeinated varieties. Plant Mol Biol 54:931–941
Ogita S, Uefuji H, Morimoto M et al (2005) Metabolic engineering of caffeine production. Plant Biotechnol 22:461–468
Ogutuga DBA, Northcote DH (1970) Biosynthesis of caffeine in tea callus tissue. Biochem J 117:715–720
Oken L (1820) Rezension zu Runges ‘Neueste phytochemische Entdeckungen’. Isis: 334–336
Oliveira MPA (2007) Expressão de genes da biossíntese de cafeína em frutos e endospermas de Coffea arabica: sem cafeína. MSc, Instituto Agronômico de Campinas (http://www.iac.sp.gov.br/PosIAC/Entrada.htm)
Ou C-N, Fraeley VL, Ellis JM (1984) Evaluation of the EMIT reagent system for measurement of caffeine with the EMIT lab 5000 system and a centrifugal analyzer. Clin Chem 30:887–889
Pacher P, Szabo C (2007) Role of Poly(ADP-ribose) polymerase 1 (PARP-1) in cardiovascular diseases: the therapeutic potential of PARP inhibitors. Cardiovasc Drug Rev 25:235–260
Patil PS, Mallath MK (2007) Coffee and hepatocellular carcinoma: cause or confounding? Hepatology 46:2046–2047
Pelletier J (1826) Note sur la caféine, Lue à l’Academie royale de médecine. J Pharmacie 12e Année 5:229–233
Pfaff CH, Liebig J (1832) Über die Zusammensetzung des Kaffeins. Annalen der Pharmacie 1:17–20
Preusser E, Serenkov GP (1963) Caffeine biosynthesis in tea leaves. Biokhimiya 28:857–861
Prewo R, Guggisberg A, Lorenzi-Riatsch A et al (1990) Crystal structure of mozambioside, a diterpene glycoside of Coffea pseudozanguebariae. Phytochemistry 29:990–992
Priolli RHG, Mazzafera P, Siqueira WJ et al (2008) Caffeine inheritance in interspecific hybrids of Coffea arabica x Coffea canephor (Gentianales, Rubiaceae). Gen Mol Biol 31:498–504
Rakotomalala JJR (1992) Diversité biochimique des caféiers: analyse des acides hydroxycinnamiques, bases puriques et diterpènes glycosidiques. Particularités des caféiers sauvages de la région malgache (Mascarocoffea Chev.). Ph.D., Universite Montpellier II
Rakotomalala J-JR, Cros E, Clifford MN et al (1992) Caffeine and theobromine in green beans from Mascarocoffea. Phytochemistry 31:1271–1272
Rakotomalala J-JR, Kumamoto T, Aburatani T et al (2004) Caffeine content distribution among Mascarocoffea species in Madagascar. 20th International Conference on Coffee Science, Bangalore
Ramalakshmi K, Raghavan B (1999) Caffeine in coffee: its removal. Why and how? Crit Rev Food Sci Nutr 39:441–456
Roberts MF, Waller GR (1979) N-methyltransferases and 7-methyl-N9-nucleoside hydrolase activity in Coffea arabica and the biosynthesis of caffeine. Phytochemistry 18:451–455
Runge FF (1819) De nova methodo veneficium belladonnae, daturae nec non hyoscyami explorandi. Dissertation inaug. Jenae, Jena
Runge FF (1820a) Anleitung zu einer besseren Zerlegungsweise der Vegetabilien durch Theorie und Versuche. In: Runge FF (eds) Neueste phytochemische Entdeckungen zur Begründung einer wissenschaftlichen Phytochemie, Berlin
Runge FF (1820b) Über Pflanzenchemie (Fortsetzung). Isis: 329–333
Salmona J, Dussert S, Descroix F et al (2008) Deciphering transcroptional networks that govern Coffea arabica seed development using combined cDNA array and real time RT-PCR approaches. Plant Mol Biol 66:105–124
Scholthof K (2007) The disease triangle: pathogens, the environment and society. Nature Rev Microbiol 5:152–156
Schulthess BH, Baumann TW (1995) Are xanthosine and 7-methylxanthosine caffeine precursors? Phytochemistry 39:1363–1370
Schulthess BH, Baumann TW (1995) Stimulation of caffeine biosynthesis in suspension-cultured coffee cells and the in situ existence of 7-methylxanthosine. Phytochemistry 38:1381–1386
Schulthess BH, Morath P, Baumann TW (1996) Caffeine biosynthesis starts with the metabolically-channelled formation of 7-methyl-XMP—a new hypothesis. Phytochemistry 41:169–175
Shlonsky AK, Klatsky AL, Armstrong MA (2003) Traits of persons who drink decaffeinated coffee. Ann Epidemiol 13:273–279
Silvarolla MB, Mazzafera P, Lima MMA (2000) Caffeine content of Ethiopian Coffea arabica beans. Gen Mol Biol 23:213–215
Silvarolla MB, Mazzafera P, Fazuoli LC (2004) A naturally decaffeinated arabica coffee. Nature 429:826–826
Silvarolla MB, Fazuoli LC, Mazzafera P (2007) A obtenção de um café naturalmente descafeinado. O Agronômico 59:60–62
Snyder SH, Katims JJ, Annau Z et al (1981) Adenosine receptors and behavioral actions of methylxanthines. Proc Natl Acad Sci USA 78:3260–3264
Söndahl MR, Lauritis JA (1992) Coffee. In: Hammerschlag FA, Litz RE (eds) Biotechnology of perennial fruit crops. CAB International, Cambridge
Söndahl MR, Nakamura T, Filho HPM et al (1984) Coffee. In: Ammirato PV, Evans DA, Sharp WR, Yamada Y (eds) Handbook of Plant Cell Culture, vol 3. Crop Sciences, Macmillan, New York
Suzuki T, Takahashi E (1975) Biosynthesis of caffeine by tea-leaf extracts. Enzymic formation of theobromine from 7-methylxanthine and of caffeine from theobromine. Biochem J 146:87–96
Suzuki T, Takahashi E (1976) Caffeine biosynthesis in Camellia sinensis. Phytochemistry 15:1235–1239
Suzuki T, Waller GR (1984) Biosynthesis and biodegradation of caffeine, theobromine, and theophylline in Coffea arabica L. fruits. J Agric Food Chem 32:845–848
Szabo C, Pacher P, Swanson RA (2006) Novel modulators of poly(ADP-ribose) polymerase. Trends Pharmacol Sci 27(12):626–630
Taketa ATC, Breitmaier E, Schenkel EP (2004) Triterpenes and triterpenoidal glycosides from the fruits of Ilex prarguariensis (Maté). J Braz Chem Soc 15:205–211
Tang H, Bowers JE, Wang X et al (2008) Synteny and collinearity in plant genomes. Science 320:486–488
Tango JS, Teixeira GC (1961) Teor de cafeína em progênies de café. Bol Super Serv Café 36:6–10
Tanksley SD, McCouch SR (1997) Seed banks and molecular maps unlocking genetic potential from the wild. Science 277:1063–1066
tenKate K, Laird SA (2000) Introduction. In: tenKate K, Laird SA (eds) The commercial use of biodiversity: access to genetic resources and benefit-sharing. Earthscan, London
Usmani OS, Belvisi MG, Patel HJ, Crispino N, Birrell MA, Korbonits M, Korbonits D, Barnes PJ (2004) Theobromine inhibits sensory nerve activation and cough. Faseb J 18:231–247
van Dam RM, Hu FB (2005) Coffee consumption and risk of type 2 diabetes. JAMA 294:97–104
Vitória AP, Mazzafera P (1999) Xanthine degradation and related enzymes activities in leaves and fruits of two Coffea species differing in caffeine catabolism. J Agric Food Chem 47:1851–1855
Vitzthum OG (1976) Chemie und Bearbeitung des Kaffees. In: Eichler O (ed) Kaffee und Coffein, 2nd edn. Springer, Berlin, pp 3–64
Waldhauser SSM, Gillies FM, Crozier A et al (1997) Separation of the N-7 methyltransferase, the key enzyme in caffeine biosynthesis. Phytochemistry 45:1407–1414
Waldhauser SSM, Kretschmar JA, Baumann TW (1997) N-methyltransferase activities in caffeine biosynthesis: biochemical characterization and time-course during leaf development of Coffea arabica. Phytochemistry 44:853–859
Wilbaux R (1938) Recherches sur la préparation du café par voie humide. Serie Technique - INEAC 21:1–45
Wu F, Mueller LA, Crouzillat D et al (2006) Combining bioinformatics und phylogenetics to identify large sets of single-copy orthologous genes (COSII) for comparative, evolutionary and systematic studies: a test case in the Euasterid plant clade. Genetics 174:1407–1420
Yoneyama N, Morimoto H, Ye C-X et al (2006) Substrate specificity of N-methyltransferase involved in purine alkaloids synthesis is dependent upon one amino acid residue of the enzyme. Mol Gen Genom 275:125–135
Zaprometov MN (1962) Formation of caffeine in tea plant shoots. Biokhimiya 27:679–684
Zosel K (1978) Praktische Anwendungen der Stofftrennung mit überkritischen Gasen. Angewandte Chemie 90:748–755
Acknowledgements
We wish to thank Conselho Nacional de Desenvolvimento Científico e Tecnológico (CNPq) for research fellowships (PM), and Fundação de Amparo à Pesquisa do Estado de São Paulo (FAPESP) and Consórcio Brasileiro de Pesquisa e Desenvolvimento do Café for research grants.
Author information
Authors and Affiliations
Corresponding author
Additional information
Communicated by: Ray Ming
The term ‘decaffito’ is composed of ‘decaf’ and the suffix ‘fito’ (from Greek phyto) signifying plant or vegetable. Thus ‘decaffito’ is decaf naturally grown on the coffee plant. Moreover, ‘decaffito™’is a trademark of Brazil.
Rights and permissions
About this article
Cite this article
Mazzafera, P., Baumann, T.W., Shimizu, M.M. et al. Decaf and the Steeplechase Towards Decaffito—the Coffee from Caffeine-Free Arabica Plants. Tropical Plant Biol. 2, 63–76 (2009). https://doi.org/10.1007/s12042-009-9032-7
Received:
Accepted:
Published:
Issue date:
DOI: https://doi.org/10.1007/s12042-009-9032-7